Pengepolitiske vurderinger
Konsumprisene har steget raskt, og prisveksten er klart over målet. Det er fortsatt høy aktivitet i norsk økonomi, og arbeidsledigheten har holdt seg svært lav. Samtidig ser vi nå et omslag i økonomien.
Siden forrige pengepolitiske rapport har prisveksten vært høyere enn ventet, og den ser ut til å holde seg høy lenger enn tidligere anslått. Samtidig ser arbeidsmarkedet ut til å være litt strammere enn ventet. På den annen side er renten hevet mye på kort tid, og pengepolitikken har begynt å virke innstrammende på økonomien. Omslaget i økonomien kan se ut til å bli noe mer markert enn vi så for oss i september.
Norges Banks komité for pengepolitikk og finansiell stabilitet vedtok på møtet 14. desember å sette styringsrenten opp fra 2,5 til 2,75 prosent. Slik komiteen nå vurderer utsiktene og risikobildet, vil styringsrenten mest sannsynlig settes videre opp i første kvartal neste år.
Høy inflasjon og svekkede vekstutsikter internasjonalt
Høye energipriser, høy etterspørsel og begrensninger på tilbudssiden har ført til høy inflasjon internasjonalt det siste året, men konsumprisveksten kan nå ha passert toppen i noen land, blant annet i USA. Fremtidspriser tyder på at både gass- og kraftprisene vil holde seg høye det nærmeste året, men at de deretter vil avta. Prisene på en del andre råvarer har falt det siste halvåret, og forstyrrelsene i de globale forsyningskjedene ser ut til å ha avtatt. Prisene på å frakte varer mellom land har falt mye.
Figur A Lavere gass- og kraftpriser1 Øre/kWh
Den høye prisveksten har ført til at sentralbankene hos flere av våre handelspartnere har hevet styringsrentene til de høyeste nivåene på mer enn ti år. Arbeidsmarkedene er stramme, men fallet i arbeidsledigheten synes å ha stoppet i flere land. Lønnsveksten har steget og ventes å holde seg høy også neste år. Den økonomiske aktiviteten hos våre handelspartnere har vært litt høyere enn anslått i forrige rapport, men fremoverskuende indikatorer tyder på svakere vekst fremover. Vi venter at høy prisvekst og økte renter vil dempe forbruksveksten. Samtidig har de høye energiprisene ført til at flere bedrifter i Europa har nedskalert produksjonen. Vi venter at BNP-veksten hos våre handelspartnere blir lav neste år.
Figur B Kraftig innstramming i pengepolitikken i mange land2 Styringsrenter og beregnede terminrenter. Prosent
Store svingninger i finansmarkedene
Det har vært store svingninger i finansmarkedene siden forrige rapport. Forventningene til styringsrentene internasjonalt, slik de måles i markedet, ligger litt høyere den nærmeste tiden, men indikerer forventninger om at sentralbankene gradvis vil senke tempoet i rentehevingene det neste året.
Kursen på norske kroner har svingt mye de siste månedene, men er nå om lag som anslått i forrige rapport. Store svingninger i finansmarkedene bidrar til usikkerhet om utviklingen i kronekursen fremover. Norske styringsrenteforventninger har falt siden september. Høyere påslag i pengemarkedet har bidratt til økte lånekostnader for foretak. Oppgangen i boliglånsrentene har vært om lag som ventet.
Høy aktivitet i norsk økonomi, men utsikter til svakere vekst fremover
Aktiviteten i norsk økonomi har vært høyere gjennom 2022 enn tidligere lagt til grunn, og de siste månedene har BNP for Fastlands-Norge steget mer enn ventet. Høy prisvekst og økte renter har dempet husholdningenes kjøpekraft, men konsumet har så langt holdt seg bedre oppe enn anslått i forrige rapport.
Figur C Høyere økonomisk aktivitet enn anslått3 BNP for Fastlands-Norge. Sesongjustert. Indeks. Februar 2020 = 100
Arbeidsmarkedet er stramt. Sysselsettingen har fortsatt å stige, og arbeidsledigheten har holdt seg svært lav. Den sesongjusterte registrerte ledigheten var 1,6 prosent i november, som var litt lavere enn anslått i forrige rapport. Det er fortsatt stor mangel på arbeidskraft, men knappheten avtar. Andelen av bedrifter i vårt regionale nettverk som rapporterte at mangel på arbeidskraft begrenser produksjonen, falt videre i november. Antall ubesatte stillinger har også avtatt.
Figur D Redusert knapphet på arbeidskraft4 Kapasitetsutnytting og knapphet på arbeidskraft ifølge Regionalt nettverk. Andeler i prosent
Bedriftene i Regionalt nettverk venter samlet sett en klar nedgang i produksjonen det neste halve året. Bedriftene venter at sterk pris- og kostnadsvekst, høyere rente og færre offentlige prosjekter vil dempe etterspørselen fremover.
Vi har sett et omslag i boligmarkedet. Boligprisene har falt mer enn anslått, og antallet usolgte boliger har økt markert. Vi venter at boligprisene vil falle videre frem mot høsten neste år. Lavere boligpriser reduserer husholdningenes formue, og sammen med utsikter til en betydelig nedgang i husholdningenes disponible realinntekt neste år ventes det å bidra til fall i konsumet fra i år til neste år. Husholdningene sparer nå mindre av inntektene sine, og vi venter at sparingen holder seg lav fremover.
Vi anslår at aktiviteten i norsk økonomi vil falle den nærmeste tiden. Høyere prisvekst og en svakere utvikling i boligmarkedet ventes å bidra til en raskere nedkjøling i norsk økonomi enn vi så for oss i september. Store investeringer innen petroleumsnæringen og aktivitet knyttet til klimaomstilling ventes å løfte aktiviteten noe lenger frem.
Utsikter til at prisveksten holder seg høy lenger
Prisveksten her hjemme er høy og klart høyere enn anslått i forrige rapport. I november var tolvmånedersveksten i konsumprisindeksen (KPI) 6,5 prosent. Særlig prisene på energi og matvarer har steget mye det siste året, men også prisene på en rekke andre varer og tjenester har steget mer enn normalt. Tolvmånedersveksten i konsumprisindeksen justert for avgiftsendringer og uten energivarer (KPI-JAE) har steget videre og var 5,7 prosent i november. Det er høy vekst i prisene både på varene vi importerer og på norskproduserte varer og tjenester. Andre indikatorer for den underliggende prisveksten har også steget. Vi venter at prisveksten vil holde seg høyere enn tidligere anslått i tiden fremover.
Forventningene til prisveksten de neste årene har økt den siste tiden, ifølge Norges Banks forventningsundersøkelse. De langsiktige inflasjonsforventningene steg videre i fjerde kvartal og ligger over målet på 2 prosent.
Lønnsveksten i år ser ut til å bli høyere enn i fjor. Det må blant annet ses i sammenheng med at arbeidsmarkedet er svært stramt. Registerbasert lønnsstatistikk indikerer at lønnsveksten i årets tre første kvartaler kan ha vært litt lavere enn anslått, og anslaget for lønnsveksten i 2022 er nå nedjustert til 3,9 prosent. Det innebærer en kraftig nedgang i reallønningene. Norges Banks forventningsundersøkelse viser at forventningene til lønnsveksten i 2023 har økt siden september og at det er forventninger om en klar oppgang i den nominelle lønnsveksten til neste år.
Figur E Prisveksten er klart over målet på 2 prosent5 KPI og KPI-JAE. Tolvmånedersvekst. Prosent
Behov for høyere rente i norsk økonomi
Målet for pengepolitikken er en årsvekst i konsumprisene som over tid er nær 2 prosent. Inflasjonsstyringen skal være fremoverskuende og fleksibel, slik at den kan bidra til høy og stabil produksjon og sysselsetting samt til å motvirke oppbygging av finansielle ubalanser.
Komiteens vurdering er at det fortsatt er behov for en høyere rente for å dempe inflasjonen. Konsumprisene har steget raskt, og prisveksten er klart over målet. Det er fortsatt høy aktivitet i norsk økonomi, og arbeidsledigheten har holdt seg svært lav. Samtidig ser vi nå et omslag i økonomien, og høyere prisvekst bidrar til svekket kjøpekraft for husholdningene. Mindre press i økonomien vil etter hvert bidra til å dempe prisveksten.
Siden forrige pengepolitiske rapport har prisveksten vært høyere enn ventet, og den ser ut til å holde seg høy lenger enn tidligere anslått. Samtidig ser arbeidsmarkedet ut til å være litt strammere enn ventet. På den annen side er renten hevet mye på kort tid, og pengepolitikken har begynt å virke innstrammende på økonomien. Omslaget i økonomien kan se ut til å bli noe mer markert enn vi så for oss i september.
Figur F Høyere styringsrente bidrar til å dempe prisveksten6
Prognosen for styringsrenten indikerer en styringsrente som ligger rundt 3 prosent neste år. Inflasjonen anslås å avta og nærme seg målet på noe sikt. Kapasitetsutnyttingen ventes å avta, for så å holde seg noe under et normalt nivå de neste årene. Arbeidsledigheten vil da øke noe, men fra et lavt nivå.
I diskusjonen var komiteen opptatt av at prognosene for norsk økonomi er mer usikre enn normalt. Det er usikkerhet om hvordan husholdningene vil tilpasse seg høy prisvekst og økte renter og om hvordan den høye prisveksten i seg selv påvirker lønns- og prisdannelsen. Det videre forløpet for renten vil avhenge av den økonomiske utviklingen. Dersom presset i økonomien vedvarer, og det blir utsikter til at inflasjonen holder seg høy lenger enn vi nå anslår, kan det bli behov for en høyere rente enn det vi nå ser for oss. Dersom inflasjonen avtar raskere eller arbeidsledigheten blir høyere enn ventet, kan renten bli lavere enn anslått.
Komiteen vedtok enstemmig å sette styringsrenten opp med 0,25 prosentenheter til 2,75 prosent. Slik komiteen nå vurderer utsiktene og risikobildet, vil styringsrenten mest sannsynlig settes videre opp i første kvartal neste år.
Ida Wolden Bache
Pål Longva
Øystein Børsum
Ingvild Almås
Jeanette Fjære-Lindkjenn
14. desember 2022
1 Periode: Januar 2010 – desember 2025. Terminpriser per 20. september 2022 for PPR 3/22 og 13. desember 2022 for PPR 4/22.
2 Periode: 1. januar 2016 – 31. desember 2025. Dagstall til og med 13 . desember 2022. Kvartalstall fra 4. kv. 2022 for PPR 3/22 og 1. kv. 2023 for PPR 4/22. Terminrenter per 16. september 2022 for PPR 3/22 og 13. desember 2022 for PPR 4/22. For euroområdet vises ESBs innskuddsrente.
3 Periode: Januar 2016 – oktober 2022. Anslag fra juni 2022 for PPR 3/22.
4 Periode: 1. kv. 2005 – 4. kv. 2022. Andel av kontaktene som vil ha noen eller betydelige problemer med å møte vekst i etterspørselen og andel av kontaktene som svarer at knapphet på arbeidskraft begrenser produksjonen. Spørsmålet om arbeidskraft er bare stilt til de bedriftene som har oppgitt å ha full kapasitetsutnytting, men serien viser andelen av alle kontaktene i intervjurunden. Kommune- og sykehussektoren svarer ikke på spørsmålet om kapasitetsutnytting, men svarer på spørsmålet om arbeidskraft.
5 Periode: Januar 2016 – november 2022. KPI-JAE: KPI justert for avgiftsendringer og uten energivarer.
6 Periode: 1. kv. 2016 – 4. kv. 2025. Anslag fra 3. kv. 2022 for PPR 3/22 og 4. kv. 2022 for PPR 4/22 for styringsrente, KPI og KPI-JAE. Produksjonsgapet måler den prosentvise forskjellen mellom BNP for Fastlands-Norge og anslått potensielt BNP for Fastlands-Norge. KPI-JAE: KPI justert for avgiftsendringer og uten energivarer.
Vurdering av motsyklisk kapitalbuffer
Kravet til motsyklisk kapitalbuffer ble i mars besluttet økt til 2,5 prosent med virkning fra 31. mars 2023. På møtet 14. desember vedtok Norges Banks komité for pengepolitikk og finansiell stabilitet å opprettholde dette kravet.
Motsyklisk kapitalbuffer skal bidra til å gjøre bankene mer solide og dempe risikoen for at bankene forsterker et tilbakeslag i økonomien. Ved et tilbakeslag som gir eller vil kunne gi klart redusert tilgang på kreditt, bør kravet til motsyklisk kapitalbuffer settes ned.
Det er fortsatt høy aktivitet i norsk økonomi, og arbeidsledigheten har holdt seg svært lav. Samtidig ser vi nå et omslag i økonomien. Prognosene for norsk økonomi er mer usikre enn normalt.
Eiendomspriser har økt mye de siste årene, og mange husholdninger har høy gjeld. Slike sårbarheter vil kunne forsterke et tilbakeslag. I høst har kredittveksten til husholdningene avtatt, mens kredittveksten til foretakene har holdt seg oppe. Samtidig har bolig- og næringseiendomspriser falt, og vi venter at de vil falle videre. Fortsatt lave avkastningskrav øker faren for et større fall i næringseiendomsprisene.
Kredittverdige husholdninger og foretak synes å ha god tilgang på kreditt, selv om det er noen tegn til at bankene strammer inn på sin kredittpraksis. I obligasjonsmarkedet har risikopåslagene steget markert i år, særlig for næringseiendomsforetak.
Norske banker oppfyller kapitalkravene og har god lønnsomhet. Vi venter lave tap i bankene fremover. Analyser i Finansiell stabilitet 2022 viser at bankene er robuste og at de kan møte tap og opprettholde utlån ved et kraftig tilbakeslag i økonomien. Kravet til motsyklisk kapitalbuffer på 2,5 prosent bidrar til at bankene bevarer motstandskraft slik at de kan utføre oppgavene sine effektivt også ved tilbakeslag.
Komiteen vedtok enstemmig å opprettholde kravet til motsyklisk kapitalbuffer på 2,5 prosent.
Ida Wolden Bache
Pål Longva
Øystein Børsum
Ingvild Almås
Jeanette Fjære-Lindkjenn
14. desember 2022
1 Internasjonal økonomi
Konsumprisveksten er svært høy i mange land. Prisene på europeisk gass og kraft er fremdeles på høye nivåer, men fremtidsprisene for det nærmeste året er lavere enn i september. Den sterke prisveksten bidrar til lavere kjøpekraft for husholdningene. Vi venter at BNP-veksten hos våre handelspartnere blir lav neste år. Anslaget er nedjustert fra forrige rapport. De store svingningene i internasjonale finansmarkeder har vedvart siden september. Markedsprisingen indikerer litt høyere styringsrenteforventninger den nærmeste tiden enn i september, og at sentralbankene gradvis vil redusere takten i den pengepolitiske tilstrammingen.
Høye gass- og kraftpriser demper aktiviteten fremover
Hos de fleste av Norges handelspartnere er arbeidsmarkedene stramme, og BNP steg mer enn ventet fra andre til tredje kvartal. Veksten tiltok i USA og Kina, mens det var små endringer i aktivitetsnivåene i euroområdet og Storbritannia.
For de nærmeste kvartalene er vekstutsiktene svake. Gass- og kraftprisene i Europa er fremdeles på historisk høye nivåer. Ifølge fremtidsprisene vil gass- og kraftprisene holde seg høye, men nivået for det nærmeste året er lavere enn lagt til grunn i forrige rapport, se «Fremtidsprisene for energi og andre råvarer er fortsatt høye». Flere bedrifter i Europa har i høst nedskalert virksomheten på grunn av høye energikostnader, se figur 1.1. I flere land får husholdningene økonomisk støtte fra myndighetene, men utgiftene til energi vil likevel være høye de nærmeste kvartalene. Det er vanskelig å anslå de økonomiske konsekvensene av utviklingen i gass- og kraftmarkedene. Vi venter nå at de høye prisene på gass og kraft demper aktiviteten i Europa mer enn vi la til grunn i forrige rapport.
Figur 1.1 Kraftkrevende industriproduksjon i euroområdet har falt1 Industriproduksjon. Indeks. 2019 = 100. Tremåneders glidende gjennomsnitt
Veksten i konsumprisene er svært høy. Samtidig har mange sentralbanker økt styringsrentene betydelig siden i vår, og markedets renteforventninger indikerer ytterligere økninger frem mot sommeren 2023 både i Europa og USA. Vi venter at husholdningene vil redusere sparingen ytterligere, men de høye levekostnadene bidrar til at forbruket i Europa trolig faller de neste kvartalene. Aktivitetsindikatorer for både tjenestesektoren og industrien er lave, se figur 1.2, og vi venter fall i investeringene fremover. Samlet innebærer dette at den økonomiske aktiviteten i Europa trolig avtar gjennom høsten og vinteren. I tillegg vil nedstengninger i forbindelse med økt koronasmitte dempe veksten i Kina.
Figur 1.2 Aktivitetsindikatorene tyder på lavere vekst i Europa2 PMI industri (produksjon) og tjenester
Vi legger til grunn at pengepolitikken strammes til i tråd med markedets renteforventninger, og at råvareprisene utvikler seg i tråd med fremtidsprisene. I Storbritannia er det planlagt betydelig tilstramming i finanspolitikken, mens økte forsvars- og energiinvesteringer i Europa trolig løfter aktiviteten utover i prognoseperioden. I Kina venter vi at veksten fremover blir lavere enn i årene før pandemien. Det skyldes delvis tiltak for å sikre en vekst som er mer drevet av innenlandsk konsum og mindre avhengig av handel med utlandet, men også som følge av vedvarende handelskonflikter med andre land. Vi anslår at BNP-veksten hos handelspartnerne avtar fra 3,4 prosent i 2022 til 0,5 prosent i 2023, før den tar seg opp igjen i 2024, se tabell 1 i vedlegget. Anslagene for 2023 og 2024 er nedjustert fra septemberrapporten, se figur 1.3. Importveksten hos handelspartnerne anslås å falle fra over 7 prosent i 2022 til under 0 i 2023.
Figur 1.3 Svakere vekstutsikter3 BNP handelspartnere. Kvartalsvekst. Sesongjustert. Prosent
Høy konsumprisvekst
Pandemirelaterte forhold både på tilbuds- og etterspørselssiden og krigen i Ukraina har bidratt til høy inflasjon hos viktige handelspartnere siden i fjor høst, men konsumprisveksten kan nå ha passert toppen i noen land, blant annet i USA. Tolvmånedersveksten i konsumprisindeksen i USA har falt noe de siste månedene, mens den underliggende konsumprisveksten har holdt seg på litt over 6 prosent, se figur 1.4. Også i euroområdet falt samlet konsumprisvekst fra oktober til november, til 10 prosent. Det er svært høy prisvekst på både energi og mat. Den underliggende konsumprisveksten var på 5 prosent i november. De siste månedene har den underliggende prisveksten hos handelspartnerne vært høyere enn anslått i forrige rapport, særlig i Europa.
Figur 1.4 Fortsatt høy konsumprisvekst4 Konsumpriser. Tolvmånedersvekst. Prosent
Kostnadene for å frakte varer har falt betydelig det siste halvåret. Ratene for transport av varer fra Asia til USA er nede på samme nivåer som før pandemien. Samtidig har prisene på flere råvarer falt markert i sommer og høst. Det vil etter hvert dempe prisveksten på konsumvarer. På den annen side har høye energipriser bidratt til kostnadsøkninger som vi venter at bedriftene i noen grad velter over i prisene på varer og tjenester.
Arbeidsmarkedene er stramme, men fallet i arbeidsledigheten synes å ha stoppet opp i flere land, og etterspørselen etter arbeidskraft ser ut til å være på vei ned både i USA og Europa. Lønnsveksten hos våre viktigste handelspartnere anslås å bli om lag 4,5 prosent både i år og neste år. Deretter venter vi at lønnsveksten gradvis avtar. Langsiktige markedsbaserte inflasjonsforventninger er lite endret siden septemberrapporten og ligger nær inflasjonsmålene både i USA og euroområdet. Vi anslår at den underliggende prisveksten for handelspartnerne samlet vil avta fra 4,8 prosent i år til litt over 4 prosent i 2023 og deretter gradvis reduseres til rundt 2 prosent. Anslagene er oppjustert fra septemberrapporten.
Videre oppgang i styringsrentene ute
Siden forrige rapport har sentralbankene ute fortsatt den pengepolitiske tilstrammingen, hovedsakelig på grunn av den høye prisveksten. Sentralbankene i USA, euroområdet, Storbritannia og Sverige har alle hevet sine styringsrenter, som nå er på de høyeste nivåene siden finanskrisen. Markedsaktørenes forventninger til styringsrentene den nærmeste tiden har steget litt siden forrige rapport. Samtidig indikerer markedsprisingen forventninger om at sentralbankene gradvis vil senke takten i rentehevingene det neste året, noe de fleste sentralbankene også har signalisert.
De store svingningene i finansmarkedene har vedvart. Langsiktige internasjonale statsrenter økte i høst, men har de siste ukene falt tilbake til om lag samme nivå som ved septemberrapporten, se figur 1.5. Internasjonale aksjeindekser er litt høyere enn ved forrige rapport, mens kredittpåslagene for foretaksobligasjoner har falt.
Figur 1.5 Svingninger i lange renter5 Renter på tiårs statsobligasjoner i utvalgte land. Prosent
Usikkerhet om den økonomiske utviklingen
Den pågående krigen i Ukraina bidrar til usikkerhet om utviklingen fremover. Effektene av at mange land strammer inn pengepolitikken samtidig er også usikre. Det er en risiko for at de økte levekostnadene for husholdningene og de økte driftsutgiftene for bedriftene fører til en svakere utvikling i forbruk og investeringer hos handelspartnerne enn vi nå anslår. Da vil også konsumprisveksten kunne komme raskere ned. Begrensninger i tilgangen på energi kan også dempe aktiviteten mer enn anslått. På den annen side kan husholdningene bruke mer av sine oppsparte midler, slik at veksten blir høyere enn ventet. I våre anslag vil lønnsmottakerne ikke fullt ut kompenseres for den høye prisveksten, men dersom det likevel skulle skje, kan pris- og lønnsveksten forbli høy lenger enn vi nå venter. Koronapandemien bidrar fortsatt til usikkerhet. Lettelser i smitteverntiltak i Kina kan løfte aktiviteten mer enn ventet på kort sikt, men det kan samtidig føre til flere nedstengninger lenger frem. Det er også risiko for ytterligere fall i boligmarkedet i Kina.
1 Periode: Januar 2021 – september 2022. Energi- og gassintensiv sektor regnes som bergverksdrift og utvinning; produksjon av metallvarer, unntatt maskiner og utstyr; produksjon av gummi-, plast- og andre ikke-metallholdige mineralprodukter; produksjon av trelast og -varer, papir og papirvarer; trykking og reproduksjon av innspilte opptak; produksjon av kjemikalier og kjemiske produkter og produksjon av kull- og raffinerte petroleumsprodukter. Vektet etter andel av total industri 2019 merverdi.
2 Periode: Januar 2021 – november 2022. Aggregat er for Euroområdet, Storbritannia og Sverige. Eksportvekter.
3 Periode: 1. kv. 2021 – 4. kv. 2023. Anslag fra 3. kv. 2022 for PPR 3/22 og fra 4. kv. 2022 for PPR 4/22. Eksportvekter. 13 handelspartnere.
4 Periode: Januar 2016 – november 2022. Underliggende KPI er konsumpriser uten energi og mat i USA og uten energi, mat, tobakk og alkohol i euroområdet. Data til og med oktober for USA og november for euroområdet.
5 Periode: 1. januar 2020 – 9. desember 2022.
Fremtidsprisene for energi og andre råvarer er fortsatt høye
Prisene på energi og andre råvarer ligger an til å forbli høye fremover, selv om de har falt tilbake fra rekordnivåene tidligere i år.
Viktige energipriser på kontinentet, som nederlandsk gasspris og tysk kraftpris, er lavere nå og for 2023 enn vi la til grunn i september (se figur A i Pengepolitiske vurderinger). Det kan ses i sammenheng med ulike politikktiltak fra EU for energisparing, økt energiproduksjon og signaler om mulige prisreguleringer. Gjennom høsten ble dessuten energiforbruket redusert som følge av mildt vær. I tillegg var vindkraftproduksjonen høy, og tilgangen på flytende gass var god. Europeiske gasslagre økte, og frykten for rasjonering til vinteren har blitt mindre. I de siste ukene har gass- og kraftprisene steget igjen særlig som følge av kaldt, stille og tørt vær.
Fremtidsprisene i Europa indikerer at gass- og kraftprisene kan forbli høye det nærmeste året. Usikkerheten om prisutviklingen er svært stor, særlig knyttet til nivået på russisk gasseksport og fransk kjernekraftproduksjon. I tillegg har været stor betydning. Lengre ut i tid indikerer fremtidskontraktene at prisene skal avta igjen, men de ventes å forbli høyere enn de har vært historisk, se tabell 1.A. Varig bortfall av russisk gass og problemer med fransk kjernekraftproduksjon vil kunne bidra til knapphet på energi i Europa de kommende årene.
Tabell 1.A Energi- og råvarepriser
|
Prosentvis endring i anslag fra Pengepolitisk rapport 3/22 i parentes |
Snittpris (2010–2019) |
Faktiske priser og fremtidspriser1 |
|||||
|
2020 |
2021 |
2022 |
2023 |
2024 |
2025 |
||
|
Olje, USD/fat |
80 |
42 |
71 |
101 (-1) |
77 (-8) |
75 (-4) |
73 (-2) |
|
Gass, USD/fat |
40 |
18 |
87 |
207 (-16) |
235 (-18) |
180 (2) |
120 (0) |
|
Petroleum2, USD/fat |
63 |
34 |
85 |
164 (-16) |
200 (-18) |
153 (1) |
106 (-1) |
|
Kull, Euro/tonn |
66 |
44 |
102 |
278 (-5) |
241 (-17) |
234 (-14) |
213 (-18) |
|
Utslippskvoter, Euro/tonn |
10 |
25 |
53 |
81 (1) |
89 (19) |
94 (19) |
99 (18) |
|
Tysk kraft, Øre/kWh |
36 |
36 |
106 |
265 (-20) |
392 (-25) |
297 (19) |
192 (-3) |
|
Nordisk kraft, Øre/kWh |
32 |
12 |
64 |
148 (-16) |
209 (20) |
99 (25) |
79 (24) |
|
Kraft sør i Norge, Øre/kWh |
31 |
10 |
78 |
205 (-26) |
254 (-3) |
135 (11) |
107 (13) |
|
Kraft nord i Norge, Øre/kWh |
32 |
10 |
40 |
32 (23) |
50 (35) |
50 (47) |
49 (58) |
|
Aluminium, i tusen USD/tonn |
1,9 |
1,7 |
2,5 |
2,7 (1) |
2,5 (8) |
2,6 (7) |
2,7 (6) |
|
Kobber, i tusen USD/tonn |
6,8 |
6,2 |
9,3 |
8,8 (1) |
8,5 (11) |
8,5 (11) |
8,5 (11) |
|
Hvete, USD/tonn |
210 |
202 |
258 |
331 (-2) |
276 (-15) |
280 (-10) |
268 (-6) |
|
Mais, USD/tonn |
183 |
143 |
227 |
271 (-1) |
246 (-5) |
231 (-3) |
214 (-1) |
1 Terminpriser per 9. desember 2022.
2 En beregnet pris på norsk petroleumseksport. Prisen er beregnet på grunnlag av oljens og gassens andel i historiske tall for eksporten. For fremtidsprisene har olje og gass andeler beregnet på grunnlag av markedets forventede priser
Kilder: Refinitiv Datastream og Norges Bank
Kraftprisene sør i Norge er også lavere enn lagt til grunn i september, se figur 1.A. Det skyldes utviklingen i gass- og kraftpriser i Europa og økt fyllingsgrad i vannmagasinene. Også fremtidsprisene for kraft sør i Norge er lavere enn i september. Men kaldt, stille og tørt vær har også her ført til høyere priser i det siste. Fremtidsprisene indikerer at kraftprisen ventes å være markert høyere de kommende årene enn hva den har vært historisk. Kraftprisen nord i Norge har økt mye den siste tiden, særlig som følge av lavere vindkraft- og kjernekraftproduksjon i Sverige og i Finland. Fremtidsprisene indikerer likevel at prisen nord i Norge vil forbli lavere enn sør i Norge.
Figur 1.A Lavere kraftpriser sør i Norge, men høyere nord i Norge1 Øre/kWh
Prisen på olje har falt siden september og er rundt 75 dollar per fat, se figur 1.B. Fremtidsprisene ut i tid er mindre endret og indikerer at oljeprisen vil falle ned mot 70 dollar per fat i 2025, se tabell 1.A. Oljeprisen kan falle mer hvis veksten i verdensøkonomien svekkes ytterligere. På den annen side kan oljeprisen holdes oppe dersom OPEC-pluss kutter videre i produksjonen. I tillegg er det stor usikkerhet om effektene på russisk oljeeksport av EUs sanksjoner mot import av russisk olje og G7s pristak på salg av russisk olje til andre land.
Figur 1.B Lavere oljepris2 USD/fat
Prisene på industrimetaller har steget noe siden rapporten i september. Økt behov for metaller i energiomstillingen bidrar til økt etterspørsel etter metaller, mens høyere energikostnader og andre forhold på produksjonssiden begrenser tilbudet. Fremtidsprisene er lite endret sammenliknet med forrige rapport, og indikerer at prisene vil bli høyere de kommende årene enn i årene før pandemien, se tabell 1.A.
Prisene på globale jordbruksvarer og gjødsel er samlet sett noe lavere enn i september, men de er fortsatt betydelig høyere enn i årene før pandemien. Mer tørke og flom, geopolitisk usikkerhet og økte priser på innsatsvarer bidrar til at også fremtidsprisene på jordbruksvarer er høye, men disse har avtatt noe fra forrige rapport.
2 Finansielle forhold
De finansielle forholdene i Norge er litt strammere nå enn ved forrige rapport. Høyere styringsrente har bidratt til at boliglånsrenten og renten på foretaksfinansiering har økt videre. Høyere påslag i pengemarkedet har ført til en ytterligere økning i utlånsrenten til foretakene. Valutakursen har svingt mye, men er nå nær nivåene fra september.
2.1 Pengepolitikken siden september
På rentemøtet 21. september ble det besluttet å heve styringsrenten fra 1,75 til 2,25 prosent. I den pengepolitiske rapporten ble det lagt til grunn at styringsrenten ville øke videre til rundt 3 prosent i løpet av vinteren. Ved rentemøtet 2. november ble styringsrenten satt videre opp til 2,50 prosent.
På forhånd hadde markedsaktørene priset inn en viss sannsynlighet for en større renteheving i november. Markedets renteforventninger har falt siden fremleggelsen av septemberrapporten, og ligger lavere enn prognosen for styringsrenten i denne rapporten.
Vi har utviklet en indikator for finansielle forhold utover det som følger av styringsrenten, se «Indeks for finansielle forhold (FCI) for Norge». Indikatoren viser at slike finansielle forhold strammet seg til gjennom høsten, men er nå nær nivåene ved forrige rapport.
2.2 Rentene til husholdninger og foretak
Høyere boliglånsrente fremover
Husholdningenes renteutgifter har steget i takt med økningene i styringsrenten. Ved utgangen av oktober var gjennomsnittlig utlånsrente på utestående boliglån 3,3 prosent, nær 1 prosentenhet høyere enn ved inngangen til juli. Det er om lag som anslått.
Rundt 85 prosent av økningen i styringsrenten siden i fjor høst har så langt slått gjennom til boliglånsrenten. Gjennomslaget fra styringsrenten til innskuddsrenten har vært vesentlig lavere enn til utlånsrenten, men har økt litt den siste tiden. Den gjennomsnittlige innskuddsrenten til husholdningene var 1,1 prosent ved utgangen av oktober. Lavere gjennomslag til innskuddsrenten har gjort det mulig for bankene å opprettholde den underliggende lønnsomheten uten å øke boliglånsrentene like mye som styringsrenten.
Vi anslår at boliglånsrenten fortsetter å øke etter hvert som styringsrenten settes videre opp, men fortsatt noe mindre enn økningen i styringsrenten. Prognosene innebærer at boliglånsrenten stiger til 4,3 prosent i løpet av neste år, se figur 2.1.
Figur 2.1 Husholdningenes boliglånsrente har økt1 Renter. Prosent
Høyere rentekostnader på ny foretaksfinansiering
Rentebærende kronegjeld i norske fastlandsbedrifter består i hovedsak av banklån og verdipapirgjeld. Det siste året har ny foretaksfinansiering i bank og obligasjonsmarkedet blitt gradvis dyrere.
Foretaksfinansiering til flytende rente er i stor grad knyttet til pengemarkedsrenten, tremåneders Nibor, både i bank- og i obligasjonsmarkedet. Når rentene har økt det siste året, skyldes det først og fremst høyere styringsrente og forventninger om videre renteoppgang, se figur 2.2. Siden september har også pengemarkedspåslaget i Nibor vært høyere enn vi la til grunn i forrige rapport. Dette skyldes i hovedsak økte priser på finansiering i det amerikanske pengemarkedet og lav strukturell likviditet i det norske banksystemet. Så langt i fjerde kvartal har påslaget vært i underkant av 0,6 prosentenheter, se figur 2.3. Vi venter at påslaget vil avta gradvis mot 0,35 prosentenheter gjennom vinteren. Anslagene ligger nær markedets prising av pengemarkedspåslaget frem i tid.
Figur 2.2 Høyere foretaksrente2 Rente på ny finansiering i kroner til flytende rente for ikke-finansielle foretak i Fastlands-Norge. Prosent
Figur 2.3 Pengemarkedspåslaget har vært høyere enn anslått3 Pengemarkedpåslag. Prosentenheter
I tillegg til pengemarkedsrenten betaler foretakene et påslag for ny finansiering i form av en margin på bankfinansiering og et risikopåslag i obligasjonsmarkedet. Fordi utestående bankgjeld i sum er om lag tre ganger større enn obligasjonsgjelden, er det særlig endringer i bankenes utlånsmargin som vil påvirke foretakene. Historisk har risikopåslaget i obligasjonsmarkedet svingt betydelig, mens bankenes utlånsmargin på nye lån over lengre tid har vært forholdsvis stabil.
Den siste tiden har bankenes utlånsmargin, slik den reflekteres i rentestatistikken fra Statistisk sentralbyrå, avtatt litt. Flere spørreundersøkelser, som Norges Banks utlånsundersøkelse for tredje kvartal, kan imidlertid indikere at utlånsmarginen vil stige noe fra dagens nivå. Risikopåslagene på ny finansiering i obligasjonsmarkedet har steget markert det siste året, og økte videre inn i fjerde kvartal. De siste ukene har påslagene samlet sett falt tilbake til nivåene fra september. For næringseiendomsforetak har risikopåslagene fortsatt å stige.
Flere foretak benytter seg av fastrenteavtaler på deler av sin gjeld. For slike lån er det nivået på langsiktige renter som særlig vil ha betydning for kostnaden ved ny finansiering. Det siste året har langsiktige renter økt, men de har falt noe siden forrige rapport.
Hovedindeksen på Oslo Børs er litt høyere enn i september, men den har svingt en del i perioden. Spredningen mellom underindeksene har vært stor. Aksjene i oppdrettsselskaper falt betydelig etter at regjeringen annonserte grunnrenteskatt på havbruksnæringen, mens industri-, teknologi- og materialaksjer har steget mye.
1 Periode: 1. kv. 2016 – 4. kv. 2025. Anslag fra 3. kv. 2022 for PPR 3/22 og fra 4. kv. 2022 for PPR 4/22. Utlånsrente for boliglån er gjennomsnittlig rente på utestående nedbetalingslån med pant i bolig til husholdninger for utvalget av banker og kredittforetak som inngår i Statistisk sentralbyrås månedlige rentestatistikk.
2 Periode: Desember 2013 – oktober 2022.
3 Periode: 1. januar 2016 – 31. desember 2025. Femdagers glidende gjennomsnitt. Siste observasjon er 9. desember 2022. Anslag fra 3. kv. 2022 for PPR 3/22 og fra 4. kv. 2022 for PPR 4/22. Påslaget i norsk pengemarkedsrente er differansen mellom tremåneders pengemarkedsrente og forventet styringsrente.
2.3 Kronekursen
Utsikter til sterkere krone
Kronekursen, målt ved den importveide kursindeksen I-44, har svekket seg siden årsskiftet og perioden har vært preget av store svingninger. Utviklingen må ses i sammenheng med at rentene hos våre handelspartnere har steget mer enn rentene i Norge. I tillegg har høy inflasjon i mange land og Russlands invasjon av Ukraina ført til stor usikkerhet i finansmarkedene. Usikkerheten har bidratt til en høyere risikopremie på norske kroner.
På den annen side har høye petroleumspriser gjennom 2022 bidratt til en betydelig forbedring i Norges bytteforhold overfor utlandet. Over tid har det vært en relativt nær sammenheng mellom bytteforholdet og realvalutakursen, se figur 2.4. Kronekursen har ikke styrket seg i 2022, slik historiske sammenhenger med bytteforholdet kunne tilsi. Det kan blant annet ha sammenheng med betydelig usikkerhet om varigheten av oppgangen i petroleumsprisene, samt utviklingen i andre drivkrefter for kronekursen.
Figur 2.4 Svakere kronekurs enn bytteforholdsgevinster kunne tilsi4 Relative timelønnskostnader i industrien og bytteforholdet overfor utlandet. Indeks. 2000 = 100
Siden septemberrapporten har kronekursen svingt mye, men er nå nær nivåene fra september. Utviklingen er samlet sett i tråd med anslagene fra forrige rapport, til tross for at petroleumsprisene har avtatt og at rentene ute har økt mer enn rentene her hjemme. Vi legger til grunn at kronekursen holder seg nær dagens nivå den nærmeste tiden.
Etter hvert venter vi at usikkerheten i de internasjonale finansmarkedene avtar og at kursen styrker seg, se figur 2.5. Anslagene er lite endret fra forrige rapport, men det er stor usikkerhet om den videre kursutviklingen. Anslagene innebærer at norske renter vil være lavere enn rentene hos handelspartnerne gjennom neste år, for første gang siden før finanskrisen. Det kan tilsi en svakere utvikling i kronekursen enn vi ser for oss. Skulle på den annen side inflasjonen internasjonalt avta raskere enn lagt til grunn, vil det kunne redusere uroen i internasjonale finansmarkeder ytterligere og føre til en sterkere kronekurs. Tidvis dårlig likviditet i kronemarkedet kan bidra til å forsterke svingninger i kronekursen.
Figur 2.5 Sterkere kronekurs enn rentedifferanse kunne tilsi5 Importveid valutakursindeks I-44. Differanse mellom tremåneders pengemarkedsrente i Norge og hos handelspartnerne. Prosentenheter
4 Periode: 2000 – 2022. Anslag for 2022. Timelønnskostnader i industrien i Norge i forhold til industrien hos handelspartnerne i EU i felles valuta. Bytteforholdet er definert som eksportpriser dividert med importpriser.
5 Periode: 1. kv. 2000 – 4. kv. 2025. Anslag fra 3. kv. 2022 for PPR 3/22 og 4. kv. 2022 for PPR 4/22. Stigende indeksverdi for I-44 betyr svakere kronekurs. Høyre akse er invertert. Rentedifferanse mot de viktigste handelspartnerne.
Indeks for finansielle forhold (FCI) for Norge
Finansielle forhold sier noe om hvor lett det er for banker, husholdninger og bedrifter å få finansiering og til hvilke vilkår. Styringsrenten er viktig fordi den bestemmer den kortsiktige risikofrie renten som ligger til grunn for andre finansielle priser, men det er ikke nok å se på styringsrenten alene. Flere andre faktorer kan også påvirke finansielle forhold. Vi har derfor utviklet en indeks for finansielle forhold (FCI – «Financial conditions index») for å få et samlet inntrykk av pris og tilgjengelighet for ulike typer finansiering utover det som følger av styringsrenten. Empiriske øvelser viser at indeksen kan bidra til å forklare utviklingen i samlet aktivitet i norsk økonomi.
En indeks for finansielle forhold kan være nyttig for å skille ut viktige signaler fra støy på tvers av finansielle markeder, og anvendes derfor aktivt av mange lands sentralbanker, institusjoner og større investeringsbanker. For eksempel kan premier for kreditt-, likviditets- og valutarisiko i ulike markeder svinge mye over tid og bidra til at renter svinger mer enn det som følger av endringer i styringsrenten. Endringer i risikovilje og forventninger til fremtidig inntjening og renter kan videre gi store svingninger i formuespriser, uavhengig av styringsrenten. Finansielle priser kan i neste omgang blant annet påvirke utviklingen i konsum og realinvesteringer.
Ved utviklingen av indikatoren, har vi lagt vekt på at den skal være forholdsvis enkel å konstruere og dekke de viktigste finansielle størrelsene i norsk økonomi. Den foretrukne indikatoren inneholder derfor relativt få variabler og har mange fellestrekk med indikatorer som benyttes av Sveriges Riksbank og Danmarks Nationalbank. Ettersom indeksen er ment å fange opp utviklingen i samlede finansielle forhold utover endringer i styringsrenten, er rentene i indeksen justert for styringsrenten og forventede styringsrenter. Vi har også beregnet indikatorer basert på et større utvalg variabler, men resultatet endrer seg ikke vesentlig. Siden renter inngår som risikopåslag, og formuespriser er normalisert i forhold til en beregnet trendutvikling, vil variasjoner i inflasjonen i utgangspunktet ikke påvirke tolkningen av indeksen.
Som indikatorer for husholdningenes finansieringsforhold har vi inkludert utlånsrenten og boligpriser. Siden mange husholdninger har lån med flytende rente, vil en endring i utlånsrenten kunne få stor betydning for de samlede lånekostnadene til husholdningene. Endringer i boligpriser vil påvirke husholdningenes finansielle stilling og mulighet til å ta opp lån ettersom boliger også utgjør et viktig panteobjekt. Som mål på bedriftenes finansieringsforhold og kostnader ved lånefinansiering inkluderer indeksen obligasjons- og bankutlånsrenter. Vi tar også med mål for bankenes lånekostnader for tidlig å fange opp endringer i lånekostnader før de eventuelt gir seg utslag i endrede utlånsrenter til husholdninger og foretak. Påslagene i markedene for obligasjoner med fortrinnsrett og seniorobligasjoner er derfor inkludert i indeksen. I tillegg har vi inkludert aksjepriser basert på hovedindeksen ved Oslo Børs, både nivået målt som avvik fra et glidende gjennomsnitt og volatiliteten. Aksjeprisene kan gi informasjon om kostnader knyttet til egenkapitalfinansiering. Vi har også inkludert volatiliteten i den importveide valutakursen som en indikator for hvor kostbart det er for aktørene å sikre seg mot kurssvingninger.
For å representere den typiske variasjonen fra variablene i én indeks, bruker vi prinsipalkomponent-analyse på standardiserte variabler.1 Man kunne også tatt et enkelt gjennomsnitt av variablene eller beregnet vekter ved bruk av andre metoder, men våre beregninger tilsier at indeksen ikke ville vært vesentlig annerledes.
Figur 2.A viser utviklingen i FCI fra januar 2003 på månedsfrekvens. Siste verdi er snittet av daglige observasjoner til og med 9. desember 2022. Indeksen er dekomponert i bidragene fra de ulike delmarkedene. Siden indeksen er standardisert, vil den variere rundt null. Den kan derfor ikke tolkes direkte, men sier noe om hvor stramme eller lempelige de finansielle forholdene er sammenlignet med et historisk snitt. Kredittmarkedet er særlig viktig for å forklare endringer i indeksen over tid. Det reflekterer at det norske finansielle systemet er bankbasert og at endringer i pengemarkedspåslaget påvirker mange av rentene. Dekomponeringen antyder at alle delmarkedene bidro til mer lempelige finansielle forhold frem til finanskrisen i 2007–2008, og dermed til å dempe tilstrammingen fra en økt styringsrente. I 2008 ble de finansielle forhold betydelig strammere, før de normaliserte seg gjennom 2009. Den andre store tilstrammingen i indeksen var i mars 2020, men tilstrammingen var kortvarig sammenlignet med finanskrisen. Gjennom høsten har FCI-en steget, noe som kan ha forsterket bidraget fra innstrammingen i pengepolitikken i perioden. Så langt i desember har indeksen falt noe tilbake igjen.
Figur 2.A Strammere finansielle forhold i høst2 Indeks for finansielle forhold. Standardavvik fra gjennomsnitt
Figur 2.B viser vår FCI for Norge sammen med lignende indikatorer utviklet av IMF på kvartalsfrekvens. Figuren viser at selv om indeksene inkluderer noe ulike variabler, så kan det se ut som at finansielle forhold i Norge har fulgt utviklingen ute. Unntaket er under oljeprisfallet i 2015, da finansielle forhold strammet seg mer til her hjemme. Finansielle forhold har samlet sett strammet seg noe til i år, både i Norge og internasjonalt.
Figur 2.B Finansielle forhold strammer seg til i Norge og utlandet-1 Indeks for finansielle forhold. Standardavvik fra gjennomsnitt
For å evaluere egenskapene til indikatoren, har vi undersøkt i hvilken utstrekning den bidrar til å forklare utviklingen i samlet aktivitet i norsk økonomi, målt ved bruttonasjonalprodukt for Fastlands-Norge (BNP-FN). I en kommende artikkel-1, gjennomfører vi en øvelse der vi skiller ut det vi kan karakterisere som uventet variasjon i FCI, dvs. eksogen variasjon, fra det som kan forklares av andre makroøkonomiske variabler. Vi anvender en såkalt SVAR-modell («Structural Vector Auto-Regressive») for å gjennomføre øvelsen. I modellen inngår også styringsrenten og BNP-FN. I øvelsen viser vi at eksogene endringer i FCI-en påvirker veksttakten i økonomien. Den negative aktivitetsimpulsen fra en tilstramming i finansielle forhold er større enn aktivitetsløftet som følger av en tilsvarende oppmyking i finansielle forhold (asymmetri). I tilfeller med eksogene finansielle tilstramminger er det videre slik at det forholdsmessige fallet i BNP-veksten blir større jo mer markert tilstrammingen er (ikke-lineær respons). Basert på denne modellen, tilsier en uventet økning i indikatoren med en enhet at BNP faller med 0,8 prosent etter ett år. Virkningen av en uventet økning i styringsrenten på ett prosentpoeng er større og noe mer varig. Etter ett år faller BNP med 1,3 prosent. Disse effektene er svært usikre.
Indikatoren kan supplere analyser av finansielle forhold som allerede inngår i vårt modellapparat. I hovedmodellen, NEMO, inngår både utlånsrenten til husholdninger og en vektet foretaksrente basert på utlåns- og obligasjonsrenter. Det innebærer at endringer i risiko- og pengemarkedspåslag som påvirker disse rentene, vil være ivaretatt i den pengepolitiske analysen. Det samme gjelder for endringer i bankenes finansieringskostnader som også kan påvirke utlånsrentene. I tillegg inngår boligprisene i NEMO. Indikatoren kan likevel hjelpe oss å si noe bredere om finansielle forhold og gi oss tidlige signaler om risiko og stramhet i finansielle forhold. Ved større endringer i indikatoren, f.eks. knyttet til endringer i markedsvolatilitet og større skift i aksjemarkedene, kan den i tillegg gi nye signaler. Som nevnt over, kan indikatoren særlig bidra til å gi signaler om nedsiderisiko i realøkonomien ved større økninger i indeksen.
1 Det innebærer at et gjennomsnitt er trukket fra alle variablene. I tillegg er variablene dividert med sitt standardavvik. Det gjør at alle variabler får samme skala.
2 Periode: Januar 2003 – desember 2022. Månedssnitt. Desember er snitt av observasjoner til og med 9. desember 2022.
-1 Periode: 1. kv. 2006 – 3. kv. 2022. Kvartalssnitt.
-1 I et kommende Norges Bank Staff Memo (Bowe, Gerdrup, Maffei-Faccioli og Olsen, 2022) dokumenteres indeksen og SVAR-analysen mer i detalj.
3 Norsk økonomi
Konsumprisene har steget raskt, og inflasjonen er klart høyere enn målet på 2 prosent. Samtidig er arbeidsledigheten lav, og en høy andel av befolkningen er i jobb. Lønnsveksten har økt, og vi anslår at den stiger videre neste år.
Høy konsumprisvekst og økte renter bidrar til å dempe etterspørselen, og vi anslår at norsk økonomi har nådd konjunkturtoppen. Boligprisene har falt de siste månedene, og vi venter at husholdningene vil redusere sitt konsum fremover. Investeringene i Fastlands-Norge er ventet å avta fra høye nivåer.
Fra neste år venter vi at lavere kapasitetsutnytting, lavere prisimpulser fra utlandet og fall i energiprisene bidrar til at prisveksten avtar og nærmer seg inflasjonsmålet på noe sikt. Arbeidsledigheten ventes å stige noe, men fra et lavt nivå.
3.1 Produksjon og etterspørsel
Omslag i fastlandsøkonomien
Aktiviteten i norsk økonomi har hentet seg inn etter koronapandemien. Reviderte tall fra nasjonalregnskapet tyder på at aktiviteten har vært høyere gjennom 2022 enn lagt til grunn i forrige rapport. I tredje kvartal vokste fastlandsøkonomien med 0,8 prosent.
Samtidig rapporterer vårt regionale nettverk om lavere vekst og utsikter til at aktiviteten avtar klart det neste halvåret, se figur 3.1. Bedriftene innen varehandel og annen husholdningsrettet tjenesteyting venter lavere etterspørsel som følge av lavere kjøpekraft i husholdningene. Ifølge bygge- og anleggsbedriftene har svakt nyboligsalg og lavere etterspørsel fra offentlig sektor redusert antall ordre. Svakere utvikling ute og hjemme demper utsiktene for industribedriftene, men høy etterspørsel fra energisektoren reduserer nedgangen og bidrar til sterk vekst blant oljeleverandørene.
Figur 3.1 Utsikter til avtakende aktivitet1 Rapportert og forventet vekst ifølge Regionalt nettverk. Annualisert. Prosent
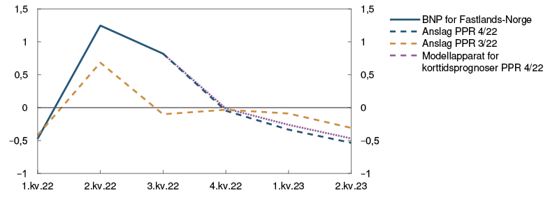
Vi anslår at norsk økonomi har nådd konjunkturtoppen, og at aktiviteten vil avta gjennom vinteren. Boligprisene har falt siden forrige rapport, og forventningsundersøkelser tyder på at økonomien er i ferd med å kjøle seg ned. Sammen med høyere prisvekst fører det trolig til at aktiviteten faller mer gjennom første halvår enn vi la til grunn i forrige rapport. Det er forenlig med anslagene fra vårt modellapparat for korttidsprognoser, hvor et bredt sett av empiriske modeller vektes sammen basert på historiske anslagsegenskaper, se figur 3.2.
Figur 3.2 BNP for Fastlands-Norge er ventet å avta2 BNP for Fastlands-Norge. Kvartalsvekst. Sesongjustert. Prosent
Vi anslår at BNP for Fastlands-Norge øker med 3,6 prosent i år. Det er særlig oppgang i husholdningenes konsum og bedriftenes investeringer som bidrar til veksten, se figur 3.3. Neste år venter vi at lavere konsum vil føre til at aktiviteten i fastlandsøkonomien avtar med 0,2 prosent. I 2024 og 2025 anslår vi at den økonomiske aktiviteten vil ta seg gradvis opp. Økte investeringer innen petroleumsnæringen og aktivitet relatert til klimaomstilling løfter veksten i årene fremover.
Figur 3.3 Husholdningenes konsum reduserer veksten fremover3 BNP for Fastlands-Norge. Årsvekst. Prosent. Bidrag til årsvekst. Prosentenheter
Høy prisvekst og økte renter demper konsumet
Husholdningenes konsum har økt mye det siste året, og veksten fortsatte i tredje kvartal. Det er særlig tjenestekonsumet og nordmenns konsum i utlandet som har tatt seg opp, mens varekonsumet har avtatt så langt i år.
Konsumet har vært høyere enn anslått, til tross for at høy prisvekst og økte renteutgifter reduserer husholdningenes kjøpekraft. Spareraten har falt og var negativ i tredje kvartal. Det kan tyde på at husholdningene har opprettholdt sitt konsum ved å tære på oppsparte midler. Korttransaksjonsdata indikerer at konsumveksten har avtatt litt i høst, og tillitsindikatorer for husholdningene er på svært lave nivåer.
Vi anslår at konsumet faller med 1,5 prosent neste år, etter en vekst på 6,5 prosent i år, se figur 3.4. I våre anslag faller disponibel realinntekt betydelig i 2023. Lavere boligpriser reduserer husholdningenes formue og demper konsumet, ettersom en stor del av formue og gjeld er knyttet til bolig. Anslagene for konsum legger til grunn at husholdningene tærer på oppsparte midler, særlig i år og neste år. Vi anslår negativ sparing neste år og lavere sparerate i årene fremover enn i årene før pandemien, se figur 3.5. Frem mot 2025 venter vi at høyere inntekter og lavere inflasjon igjen bidrar til vekst i konsumet.
Figur 3.4 Lavere konsum neste år4 Konsum i husholdninger. Faste 2019-priser. Sesongjustert. Mrd. kroner
Figur 3.5 Markert fall i husholdningenes sparing5 Husholdningenes sparerate uten aksjeutbytte. Prosent
Svakere utvikling i boligmarkedet
Boligprisene har falt med 2,6 prosent siden august, og antall usolgte boliger har økt markert. Vi venter at høyere rente vil bidra til at boligprisene faller videre frem mot høsten neste år, men at de da fortsatt vil være 12 prosent høyere enn nivåene fra før pandemien. Deretter anslår vi at boligprisene øker gradvis. Anslagene for boligprisene er lavere enn i forrige rapport, se figur 3.6. Se kapittel 5 for en nærmere omtale av boligmarkedet.
Figur 3.6 Større fall i boliginvesteringene6 Boliginvesteringer og realboligpriser. Årsvekst. Prosent
Boliginvesteringene har falt mer gjennom 2022 enn tidligere lagt til grunn. Avtakende boligpriser, knapphet på arbeidskraft og høye materialkostnader har trolig bidratt til å dempe investeringene den siste tiden. Vi venter at boliginvesteringene fortsetter å falle inn i 2023 som følge av lavere boligpriser og svært lavt nyboligsalg den siste tiden. Lenger frem anslår vi at boliginvesteringene henter seg noe inn igjen.
Foretaksinvesteringene avtar fra høye nivåer
Foretaksinvesteringene er på et høyt nivå etter at investeringene i tjenestesektoren økte betydelig i første kvartal, og langt mer enn tidligere lagt til grunn. Bedriftene i Regionalt nettverk venter at investeringene innen varehandel og tjenesteyting avtar litt fremover.
Vi venter at sterk kostnadsvekst, høyere renter på ny finansiering og avtakende lønnsomhet for mange bedrifter bidrar til å dempe investeringene. Foretaksinvesteringene anslås å falle litt neste år, etter å ha økt med nesten 17 prosent i år, se figur 3.7. Investeringer relatert til klimaomstillingen ute og hjemme bidrar isolert sett til høyere investeringer. Vi venter at store investeringer innen batterier, hydrogen og karbonhåndtering vil føre til at industriinvesteringene øker markert i årene som kommer (se utdyping i PPR 2/21). Utsikter til høy etterspørsel etter elektrisk kraft vil trolig bidra til økte kraftinvesteringer fra og med neste år.
Figur 3.7 Investeringer i andre næringer enn kraft og industri avtar litt neste år7 Foretaksinvesteringer i Fastlands-Norge. Årsvekst. Prosent. Bidrag til årsvekst. Prosentenheter
Sluttføring av flere store prosjekter på norsk sokkel har ført til at petroleumsinvesteringene har falt de siste årene. For at nye utbyggingsprosjekter skal kunne dra nytte av de midlertidige skatteendringene som ble innført i 2020, må utbyggingsplaner leveres innen nyttår. Vi venter at en rekke nye prosjekter vil føre til at petroleumsinvesteringene tar seg godt opp de neste årene, se figur 3.8. Anslagene er likevel lavere enn i forrige rapport, som følge av at noen planlagte utbyggingsprosjekter er utsatt eller kansellert.
Figur 3.8 Nye utbyggingsprosjekter øker petroleumsinvesteringene8 Petroleumsinvesteringer. Faste 2022-priser. Mrd. kroner
Normalisering av utenrikshandelen
Eksporten fra oljeleverandørnæringen har økt mye i år som følge av sterk gjeninnhenting i den globale petroleumsindustrien. Normalisering av aktiviteten hos våre handelspartnere og mer reisetrafikk enn under pandemien har ført til økt eksport fra øvrige fastlandsbedrifter. Vi anslår at etterspørselen fra petroleums- og fornybarnæringene ute bidrar til å holde eksportveksten oppe neste år, mens svakere vekstutsikter hos våre handelspartnere demper veksten i øvrig fastlandseksport de neste årene. I 2025 venter vi at eksportveksten tar seg opp, blant annet som følge av eksport fra nye batterifabrikker. Styrkingen av kronekursen gjennom prognoseperioden demper eksportveksten litt.
Grensehandelen og nordmenns reisevaner er i ferd med å normalisere seg etter koronapandemien. Det bidrar til markert vekst i importen fra 2021 til 2022. Fremover venter vi at importen vokser moderat som følge av lav vekst i norsk økonomi. Høyt investeringsnivå i fastlandsbedriftene og petroleumsvirksomheten bidrar til å holde importen oppe.
Svakere vekst i etterspørselen fra offentlig sektor
Veksten i offentlig etterspørsel har vært svak så langt i år, og vi venter svak vekst også neste år, se figur 3.9. Høy prisvekst øker kostnadene for offentlig sektor og bidrar trolig til å dempe offentlig etterspørsel neste år. I tråd med litt svakere konjunkturutvikling, tror vi at veksten i offentlig etterspørsel tiltar fra 2024.
Figur 3.9 Svak vekst i offentlig etterspørsel9 Offentlig etterspørsel. Årsvekst. Prosent
Regjeringens budsjettavtale med SV medfører noe høyere utgifter enn det som lå i regjeringens forslag til statsbudsjett for 2023, men avtalen innebærer fortsatt at den offentlige pengebruken skal avta neste år. Strømstøtteordningen for husholdningene videreføres i budsjettet. Det vil bidra til å dempe effekten av høye strømpriser på konsumprisene. De øvrige endringene i skatter og overføringer for husholdningene ser i liten grad ut til å påvirke utsiktene for husholdningenes samlede inntekter og konsum, mens endringer i skatte- og avgiftsopplegget for bedrifter trolig vil dempe investeringene noe. Samlet sett synes innretningen av finanspolitikken å være om lag i tråd med det vi la til grunn i forrige rapport.
Anslagene er usikre
Vi ser et omslag i norsk økonomi, men vi er usikre på styrken i det. I vårt regionale nettverk er flere bedrifter enn normalt usikre på hvilket aktivitetsnivå de skal legge til grunn fremover. Det gjelder særlig de som leverer til næringslivet. Mindre etterspørsel fra næringslivet kan føre til at investeringene faller mer enn vi har anslått i denne rapporten. Videre er det usikkerhet knyttet til husholdningenes tilpasning til økte priser, høyere renter og lavere boligpriser. Vi er usikre på i hvor stor grad husholdningene vil tære på oppsparte midler for å opprettholde konsumet når kjøpekraften svekkes. Konsumet kan bli høyere enn anslått dersom husholdningene sparer en mindre del av sin inntekt enn vi legger til grunn.
1 Periode: Mai 2022 – mai 2023. Vekst siste tre måneder og forventet vekst neste seks måneder.
2 Periode: 1. kv. 2022 – 2. kv. 2023. Anslag fra 3. kv. 2022 for PPR 3/22 og fra 4. kv. 2022 for PPR 4/22 og Norges Banks modellapparat for korttidsprognoser. Modellapparatet baserer seg på historiske sammenhenger. Den vekter sammen empiriske modeller ut fra tidligere anslagsegenskaper.
3 Periode: 2016 – 2025. Anslag fra 2022. Petroleumsinvesteringene inkluderer investeringer i utenriks sjøfart.
4 Periode: 1. kv. 2016 – 4. kv. 2025. Anslag fra 4. kv. 2022 for PPR 4/22. Anslag fra 3. kv. 2022 for PPR 3/22.
5 Periode: 1993 – 2025. Anslag fra 2022.
6 Periode: 2016 – 2025. Anslag fra 2022. Realboligpriser er nominelle boligpriser deflatert med KPI.
7 Periode: 2016 – 2025. Anslag fra 2022.
8 Periode: 2016 – 2025. Anslag fra 2022. Tallene for 2016 – 2021 er hentet fra investeringstellingen til Statistisk sentralbyrå og er deflatert med prisindeksen for petroleumsinvesteringer i nasjonalregnskapet. Prisindeksen anslås å øke med 5,2 prosent fra 2021 til 2022 og med 2 prosent i 2023.
9 Periode: 2016 – 2025. Anslag fra 2022.
3.2 Arbeidsmarkedet
Et stramt arbeidsmarked
Arbeidsledigheten er lav, og en høy andel av befolkningen er i jobb, se figur 3.10. Siden gjenåpningen sommeren 2021 har sysselsettingen økt betydelig, og det er nå 98 000 flere i arbeid enn før pandemien. I tredje kvartal i år økte sysselsettingen mer enn vi anslo i forrige rapport, og foreløpige tall tyder på at sysselsettingen steg noe videre i oktober.
Figur 3.10 En høy andel av befolkningen er i jobb10 Sysselsatte som andel av befolkningen. 15–74 år. Prosent
Den sterke oppgangen i sysselsettingen reflekterer at ledigheten har falt videre og at mange i tillegg har blitt trukket inn i arbeidsmarkedet. Flere bosatte som før sto utenfor arbeidsmarkedet, har fått jobb. I tillegg har det kommet flere arbeidstakere på korttidsopphold. I tredje kvartal økte antallet på korttidsopphold videre, men oppgangen var litt mindre enn vi anslo i september.
I november var 45 700 personer registrert som helt ledige hos NAV. Ledigheten holdt seg på 1,6 prosent, justert for normale sesongvariasjoner. Det er det laveste nivået siden før finanskrisen i 2008 og litt lavere enn vi anslo i september. Mens ledigheten samlet har holdt seg lav, har tilstrømmingen av nye helt ledige arbeidssøkere steget den siste tiden. Det kan være et tegn på at arbeidsmarkedet er i ferd med å bli mindre stramt.
Etterspørselen etter arbeidskraft avtar fra et høyt nivå
Mangelen på arbeidskraft har avtatt de siste månedene, og i november meldte 39 prosent av kontaktene i vårt regionale nettverk at knapphet på arbeidskraft begrenset aktiviteten. Det er lavere enn før sommeren, da halvparten av kontaktene var begrenset av mangel på folk. Andelen er likevel fortsatt på et høyt nivå.
I tillegg er antall ledige stillinger i ferd med å avta fra et høyt nivå, se figur 3.11. I tredje kvartal falt antall ledige stillinger ifølge Statistisk sentralbyrås utvalgsundersøkelse. Antallet er likevel fortsatt nær det høyeste nivået som er målt i undersøkelsen, som begynte i 2010. NAVs statistikk viser at det fortsatt lyses ut mange nye ledige stillinger, men at antallet har avtatt de siste månedene.
Figur 3.11 Etterspørselen etter arbeidskraft har avtatt11 Antall ledige stillinger i 1000
Utsikter til noe høyere ledighet
De nærmeste månedene ser vi for oss at veksten i sysselsettingen vil være svakere, og at antall sysselsatte etter hvert vil begynne å avta. Kontaktene i Regionalt nettverk rapporterte i november om noe vekst i sysselsettingen de siste månedene, men ventet om lag stabil sysselsetting de neste tre månedene. Utsiktene for sysselsettingen var svakere i november enn i august i alle private næringer med unntak av oljeleverandørene. Også Norges Banks forventningsundersøkelse tyder på svakere vekst i sysselsettingen fremover, og indikerer at antall sysselsatte etter hvert vil begynne å falle.
Vi anslår at norsk økonomi har nådd toppen av konjunktursykelen. Det innebærer en svakere utvikling i sysselsettingen fremover og at antallet som er i jobb vil falle noe de neste årene, se figur 3.12. Deretter venter vi at flere igjen kommer i jobb som følge av at den økonomiske aktiviteten øker. Anslagene innebærer at andelen av befolkningen som er sysselsatt vil gå noe ned de nærmeste årene og deretter holde seg nær nivået fra i forkant av pandemien, se figur 3.10.
Figur 3.12 Nedgang i sysselsettingen fremover12 Sysselsatte. Antall i tusen. Sesongjustert
Krigen i Ukraina fører til at flere flyktninger kommer til Norge. Det er utsikter til at det kommer flere både i år og neste år enn vi anslo i september. De nærmeste årene venter vi at en del av disse vil komme i jobb. Antall arbeidstakere på korttidsopphold anslås også å øke noe videre.
Arbeidsledigheten ventes å øke gradvis de nærmeste årene og deretter holde seg rundt 2,4 prosent, se figur 3.13. Det er nær nivåene ledigheten var på de siste par årene før pandemien.
Figur 3.13 Utsikter til noe høyere ledighet13 Registrert ledighet som andel av arbeidsstyrken. Sesongjustert. Prosent
10 Periode: 1. kv. 2016 – 4. kv. 2025. Anslag fra 4. kv. 2022 – 4. kv. 2025.
11 Periode: Januar 2010 – november 2022. Trenden i NAVs månedlige statistikk for nye ledige stillinger vises fra januar 2018 på grunn at et brudd i serien. Kvartalstall for SSBs undersøkelse vises fra 1. kvartal.
12 Periode: 1. kv. 2016 – 4. kv. 2025. Anslag for sysselsetting fra 3. kv. 2022 for PPR 3/22 og fra 4. kv. 2022 for PPR 4/22.
13 Periode: 1. kv. 2016 – 4. kv. 2025. Anslag fra 3. kv. 2022 for PPR 3/22 og 4. kv. 2022 for PPR 4/22.
Lavere kapasitetsutnytting fremover
Vår vurdering er at kapasitetsutnyttingen i norsk økonomi er høyere enn normalt, men at den nå er i ferd med å avta. Omslaget i økonomien ser ut til å komme noe senere enn vi anslo i forrige rapport. Vi venter at kapasitetsutnyttingen faller under et normalt nivå i løpet av andre halvår neste år og deretter holder seg under et normalt nivå de nærmeste årene.
Kapasitetsutnyttingen, eller produksjonsgapet, uttrykker hvor mye av de samlede ressursene i økonomien som er i bruk. Produksjonsgapet er definert som forskjellen mellom den faktiske produksjonen (BNP) og produksjonspotensialet i økonomien. Produksjonspotensialet i økonomien avgjøres av trendene i produktivitet og sysselsetting. Produksjonspotensialet og produksjonsgapet kan ikke observeres og må derfor anslås. Vårt anslag på produksjonsgapet bygger på en samlet vurdering av en rekke indikatorer og modeller. Vi legger særlig vekt på utviklingen i arbeidsmarkedet.
Etter vår vurdering steg kapasitetsutnyttingen til et normalt nivå høsten 2021, før oppgangen fortsatte inn i 2022. Vi vurderer at kapasitetsutnyttingen i tredje kvartal i år var om lag uendret fra andre kvartal. I denne perioden falt ledigheten, og veksten i sysselsetting og BNP var sterkere enn ventet. Samtidig avtok kapasitetsproblemene noe blant bedriftene i Regionalt nettverk. Vår samlede vurdering er at produksjonsgapet i tredje kvartal var i overkant av 2 prosent, som er litt høyere enn anslått i forrige rapport.
Så langt i fjerde kvartal er det flere tegn til at kapasitetsutnyttingen er i ferd med å avta fra et høyt nivå, se figur 3.A. Bedriftene i Norges Banks regionale nettverk meldte i november om en tydelig nedgang i kapasitetsutnyttingen innen de fleste næringer. Samtidig avtok knappheten på arbeidskraft blant bedriftene i nettverket.
Figur 3.A Regionalt nettverk indikerer at kapasitetsutnyttingen har avtatt1 Prosent
I tillegg har det blitt færre ledige stillinger og flere korttidsledige, slik at antall ledige stillinger per korttidsledig har falt, se figur 3.B. Det kan indikere at arbeidsledigheten vil øke fremover.
Figur 3.B Færre ledige stillinger per korttidsledig2 Ledighet som andel av arbeidsstyrken i prosent. Sesongjustert
Samlet anslår vi at produksjonsgapet avtar raskt de neste kvartalene og når en bunn på minus 0,8 prosent i løpet av andre halvår i 2024. Vi anslår at kapasitetsutnyttingen de neste årene blir litt lavere enn vi så for oss i september (se figur F i «Pengepolitiske vurderinger»).
Utsikter til nedgang i husholdningenes konsum er den viktigste årsaken til at vi venter lavere etterspørsel og kapasitetsutnytting det nærmeste året. Selv om kapasitetsutnyttingen etter hvert slutter å falle og deretter tar seg litt opp, ser vi for oss at den fortsatt vil være noe under et normalt nivå ved utgangen av 2025.
Siden forrige rapport har vi justert opp anslaget for produksjonspotensialet i år. Informasjon fra nasjonalregnskapet og Regionalt nettverk indikerer at produktivitetsveksten vil være 0,5 prosentenheter høyere i år enn vi så for oss i september. Selv om vi har oppjustert produksjonspotensialet i år, er det fremdeles tegn til at veksten i produktiviteten vil være svak fremover. Den historiske sammenhengen mellom produktiviteten i Regionalt nettverk og nasjonalregnskapet indikerer at produktivitetsveksten vil være svak inn i 2023, se figur 3.C. De kommende årene venter vi at trendveksten i produktiviteten vil bli rundt 0,6 prosent.
Figur 3.C Svak produktivitetsvekst3 Firekvartalersvekst. Glidende gjennomsnitt. Prosent
Myndighetene har oppjustert anslaget på antall ukrainske flyktninger som vil komme til Norge. Vi har lagt til grunn at mange av disse etter hvert vil komme inn i arbeidsmarkedet og har derfor oppjustert produksjonspotensialet mot slutten av anslagsperioden. Utsikter til litt færre lønnstakere på korttidsopphold enn tidligere anslått trekker i motsatt retning.
1 Periode: 1. kv. 2005 – 1. kv. 2023. Kapasitetsutnyttingsindikatorene i Regionalt nettverk er regnet om til produksjonsgap ved hjelp av en enkel modellberegning.
2 Periode: Januar 2005 – november 2022. Korttidsledige med varighet som arbeidssøker under 26 uker. Ledige stillinger er satt sammen av en trend i NAVs serie for nye ledige stillinger beregnet av Norges Bank, Statistisk sentralbyrås ledige stillinger-undersøkelse og historikk for ledige stillinger. Se nærmere beskrivelse i fig 3.B i PPR 2/22.
3 Periode: 2. kv. 2003 – 1. kv. 2023. Produktivitetsveksten er differansen mellom firekvartalersveksten i produksjon og firekvartalersveksten i sysselsetting.
3.3 Priser og lønninger
Høy prisvekst
Konsumprisene øker nå raskt, og veksten har vært klart høyere enn vi anslo i forrige rapport. I november var konsumprisindeksen (KPI) 6,5 prosent høyere enn samme måned i fjor. Tolvmånedersveksten var likevel noe lavere enn i oktober. Den høye prisveksten må ses i sammenheng med høye energi- og råvarepriser, stor etterspørsel og høye prisimpulser fra utlandet. Prisveksten er bredt basert, og prisveksten har økt både på varer og tjenester, se figur 3.14.
Figur 3.14 Bred oppgang i konsumprisene1 KPI. Tolvmånedersvekst. Prosent. Bidrag til tolvmånedersvekst. Prosentenheter
Også tolvmånedersveksten i KPI justert for avgiftsendringer og uten energivarer (KPI-JAE) avtok litt i november etter en markert oppgang gjennom året. I november var tolvmånedersveksten i KPI-JAE 5,7 prosent. Andre indikatorer for underliggende inflasjon har steget i takt med KPI-JAE, se figur 3.15.
Figur 3.15 Den underliggende prisveksten har økt2 KPI og indikatorer for underliggende inflasjon. Tolvmånedersvekst. Prosent
Prisveksten er høy både på varene vi importerer og på norskproduserte varer og tjenester, og oppgangen har vært sterkere enn ventet. Særlig prisene på matvarer og alkoholfri drikke har steget mye det siste året. I tillegg har priser på transport, møbler og hotell- og restauranttjenester steget raskt. Disse prisgruppene påvirkes vanligvis ikke av de samme forholdene. At alle disse prisene nå har steget mye, indikerer at det er flere forskjellige forhold, blant annet priser på ulike innsatsfaktorer, som nå trekker prisveksten opp.
Forventningene til prisveksten de neste årene har tatt seg opp, se figur 3.D. Forventningene til prisveksten om både to og fem år ligger nå over inflasjonsmålet på 2 prosent, ifølge Norges Banks forventningsundersøkelse fra fjerde kvartal.
Krevende å anslå prisveksten
Prisveksten har over noe tid vært høyere enn vi har anslått. Det kan delvis skyldes at vi har lite erfaring med hvordan høye priser på frakt og kraft påvirker konsumprisveksten (se utdypinger i PPR 4/21 og PPR 3/22). Samtidig er det lenge siden prisene har steget så raskt som nå. Erfaringer fra 1980-tallet har vist at prisendringer i én sektor lettere kan spre seg til øvrige sektorer i perioder der inflasjonen er høy, se «Usikkerhet om prisdannelsen når inflasjonen er høy». Dersom slike effekter nå gjør seg gjeldende, kan ulike prisimpulser også i dag ha større og mer varig effekt på prisveksten enn de har hatt de siste tiårene.
Vi anslår at prisveksten vil øke litt videre og at firekvartalersveksten i KPI-JAE vil tilta til 5,9 prosent i første kvartal neste år, se figur 3.16. Det er litt høyere enn det våre empirisk baserte prognosemodeller indikerer.
Figur 3.16 Historiske sammenhenger tilsier mindre oppgang i prisveksten3 KPI-JAE. Firekvartalersvekst. Prosent
Fraktprisene har falt markert de siste månedene, og vi anslår at importert prisvekst vil avta gjennom prognoseperioden, se figur 3.17, som følge av lavere prisimpulser fra utlandet. Etter hvert venter vi at lavere kapasitetsutnytting og fall i energiprisene vil bidra til å dempe den innenlandske prisveksten. På den annen side ser vi for oss at høyere lønnsvekst og svak produktivitetsvekst vil bidra til å holde den innenlandske prisveksten oppe. Samlet sett venter vi at firekvartalersveksten i KPI-JAE avtar gradvis til 2,5 prosent ved utgangen av 2025. Anslagene ligger høyere enn i forrige rapport gjennom det meste av neste år og er deretter lite endret.
Figur 3.17 Utsikter til lavere importert prisvekst4 Norskproduserte varer og tjenester og importerte varer i KPI-JAE. Firekvartalersvekst. Prosent
Fremtidsprisene indikerer at prisene på strøm og drivstoff vil trekke KPI opp gjennom vinteren. Strømprisene i KPI påvirkes også av en rekke andre faktorer, som strømstøtteordninger, regionale prisforskjeller og valg av strømavtale. Uvanlig store bevegelser i strømprisene gjør at det knytter seg mer usikkerhet enn normalt til den samlede effekten av strømprisene på KPI den nærmeste tiden.
Lenger frem er det utsikter til at energiprisene vil avta markert. Strømstøtte til husholdningene demper oppgangen i prisene i KPI. I anslagene legger vi til grunn at strømstøtten vil reduseres noe i sommerhalvåret neste år, i tråd med forslaget til statsbudsjett. Vi venter at firekvartalersveksten i KPI vil holde seg høy frem til første kvartal neste år og deretter avta gradvis til 2,4 prosent ved utgangen av 2025.
Høyere lønnsvekst neste år
Lønnsveksten ser ut til å bli høyere i år enn i fjor. Det må blant annet ses i sammenheng med at arbeidsmarkedet er svært stramt. Rammen i frontfaget økte betydelig fra i fjor, se figur 3.18. Det reflekterer blant annet at lønnsevnen i industrien ble trukket opp av økte eksportpriser og bedret produktivitet gjennom 2021. Registerbasert lønnsstatistikk indikerer at lønnsveksten i årets tre første kvartaler kan ha vært litt lavere enn anslått i forrige rapport, men tilsier fortsatt at årslønnsveksten er på vei opp. Mange av dem som nå kommer i jobb, har lavere lønn enn snittet. Vi legger til grunn at det isolert sett vil bidra til å trekke det gjennomsnittlige lønnsnivået noe ned i år. Vi anslår lønnsveksten i år til 3,9 prosent.
Figur 3.18 Forventninger om høyere lønnsvekst5 Årslønnsvekst. Prosent
Regionalt nettverk og Forventningsundersøkelsen viser forventninger om at lønnsveksten blir høyere neste år enn i år, se figur 3.18. Forventningene til neste års lønnsvekst har økt siden september blant partene i arbeidslivet.
Høy prisvekst og et fortsatt stramt arbeidsmarked vil trolig føre til at lønnsveksten stiger videre neste år. Svak produktivitetsvekst og utsikter til svakere lønnsomhet, se figur 3.19, vil trolig dempe oppgangen. Vi anslår at lønnsveksten øker til 4,7 prosent neste år. Det er nær lønnsforventningene til partene i arbeidslivet.
Figur 3.19 Svekket lønnsomhet i bedriftene6 Endring i driftsmarginen ifølge Regionalt nettverk og Forventningsundersøkelsen
Norges bytteforhold overfor utlandet har bedret seg betydelig i 2022, i hovedsak som følge av høye gasspriser. Litt utover i prognoseperioden venter vi at de økte petroleumsinntektene vil gi høyere aktivitet og løfte lønnsomheten i fastlandsbedriftene. Det vil isolert sett trekke i retning av økt lønnsvekst. Fra 2024 venter vi likevel at lønnsveksten avtar som følge av lavere prisvekst og noe høyere arbeidsledighet. Anslaget for neste år er litt oppjustert, mens anslagene for de påfølgende årene er noe lavere enn i forrige rapport.
I år er det utsikter til en kraftig nedgang i reallønnen, etter at reallønnen var uendret i fjor, se figur 3.20. Neste år venter vi at reallønnen vil holde seg om lag uendret. I 2024 og 2025 anslår vi at reallønnen igjen øker. Anslagene for reallønnsvekst for årene 2022 til 2025 er samlet sett lavere enn i forrige rapport.
Figur 3.20 Svak reallønnsutvikling7 Årsvekst. Prosent
Uvanlig høy usikkerhet
Vi er uvanlig usikre på pris- og lønnsutviklingen fremover. Det er usikkert hvordan ulike krefter som påvirker prisveksten vil utvikle seg og hvilket gjennomslag det får i prisene. Svingningene i prisimpulsene det siste året er uvanlig store, og mangel på historisk sammenligning gjør det krevende å anslå effekten på konsumprisene.
Samtidig er det stor usikkerhet om hvordan den høye inflasjonen i seg selv påvirker lønns- og prisdannelsen. Forventningene til prisveksten de neste årene har økt den siste tiden. Det er en risiko for at husholdninger og bedrifter begynner å venne seg til at prisveksten er høy, og planlegger for høy inflasjon når de fastsetter sine utsalgspriser eller avtaler lønninger. Prisdannelsen kan endre seg mer enn vi nå legger til grunn. Prisveksten kan da bli værende høy lenger og bli krevende å få ned igjen.
Prisveksten kan også falle raskere og bli lavere enn vi nå anslår. Prisene på blant annet energi og frakt har avtatt og kan også fremover falle raskere enn vi ser for oss. Det kan gi svakere impulser til den importerte prisveksten og bidra til en raskere nedgang i inflasjonen enn vi venter.
Det er også usikkert hvordan økte kostnader vil påvirke bedriftenes priser og lønnsdannelsen. I anslagene for pris- og lønnsveksten legger vi til grunn at kostnadene fordeles ved at bedriftenes lønnsomhet dempes, mens lønnstakere får en svak reallønnsutvikling. Fordelingen kan bli en annen enn vi ser for oss, slik at også lønns- og prisveksten blir en annen.
1 Periode: Januar 2014 – november 2022.
2 Periode: Januar 2016 – november 2022. KPI-JAE: Konusmprisindeksen justert for avgiftsendringer og uten energivarer. Gjennomsnitt: Gjennomsnittsverdi av tolvmånedersvekst for andre indikatorer for underliggende inflasjon (KPIM, KPIXE, 20 prosent trimmet snitt, vektet median, KPIXV og KPIF) og KPI-JAE. Indikatorer: Høyeste og laveste tolvmånedersvekst for andre indikatorer for underliggende inflasjon.
3 Periode: 1. kv. 2022 – 2. kv. 2023. KPI-JAE: Konsumprisindeksen justert for avgiftsendringer og uten energivarer. Anslag fra 4. kv. 2022. Modellapparatet for korttidsprognoser baserer seg på historiske sammenhenger. Den vekter sammen empiriske modeller ut fra tidligere anslagsegenskaper.
4 Periode: 1. kv. 2016 – 4. kv. 2025. KPI-JAE: Konsumprisindeksen justert for avgiftsendringer og uten energivarer. Anslag fra 3. kv. 2022 for PPR 3/22 og 4. kv. 2022 for PPR 4/22.
5 Periode: 2016 – 2023. Årslønn: Faktisk årslønnsvekst fra Statistisk sentralbyrå. Norges Banks anslag fra 2022. Forventningsundersøkelsen: Partene i arbeidslivets forventninger til årslønnsvekst inneværende år målt ved Norges Banks forventningsundersøkelse i 4. kvartal hvert år. Regionalt nettverk: Forventninger til årslønnsvekst for inneværende år i 4. kvartal hvert år. Søylene for 2023 viser forventningene et år frem.
6 Periode: 1. kv. 2007 – 4. kv. 2022. Regionalt nettverk: Endring i driftsmargin siste tre måneder fra samme tre måneder året før. Indeks fra –5 (stort fall) til +5 (kraftig vekst). Forventningsundersøkelsen: Lønnsomhet kommende 12 måneder. Andelen bedrifter som rapporterer om utsikter til bedre lønnsomhet minus andelen med utsikter til dårligere lønnsomhet.
7 Periode: 2016 – 2025. Anslag fra 2022. Reallønn: Nominell årslønnsvekst fratrukket KPI-vekst.
Usikkerhet om prisdannelsen når inflasjonen er høy
Inflasjonen har økt mye det siste året og har vært høyere enn vi har ventet. Samtidig har også inflasjonsforventningene steget betydelig siden midten av 2021, se figur 3.D.
Figur 3.D Forventningene til prisveksten har økt1 Forventninger til inflasjonen frem i tid. Prosent
I nyere tid har vi lite erfaring med hvordan prisdannelsen kan endres når inflasjonen er høy og inflasjonsforventningene er stigende. I perioder der inflasjonen har vært lav og stabil finner vi ikke betydelige utslag fra endringer i inflasjonsforventningene til prisveksten. Vi har derfor et begrenset erfaringsgrunnlag for å anslå hvordan endringer i inflasjonsforventningene påvirker prisveksten i dagens situasjon. Samspillet mellom forventninger og faktisk inflasjon er én av flere usikkerhetsmomenter ved prisdannelsen når inflasjonen er høy.
Det er også usikkerhet knyttet til de direkte og indirekte virkningene av økte elektrisitetspriser og de økte prisimpulsene fra utlandet. I perioder der prisforstyrrelsene er små og forbigående, kan bedriftene i stor grad velge å la økte kostnader midlertidig slå ut i lavere marginer. Når derimot kostnadssjokkene er store og forventes å vare ved, kan bedriftene se seg nødt til å øke prisene for å unngå at marginene blir negative. Dette gir opphav til en type ikke-lineariteter som vårt modellapparat i liten grad fanger opp.
I tillegg kan andre endringer i prisdannelsen ha bidratt til at inflasjonen har vært høyere enn vi har anslått. Det er for eksempel mulig at betydelige prisøkninger på enkeltprodukter, som ikke kan knyttes til mer generelle forhold, lettere sprer seg videre til andre varer og tjenester når inflasjonen er høy enn når den er lav. Bank for International Settlements (BIS) finner i en analyse på amerikanske data at det har vært større spredningseffekter fra relative prisøkninger i perioder med høy inflasjon.2 Dette kan for eksempel skyldes at prisøkninger i mindre grad blir sett på som forbigående når inflasjonen er høy enn når den er lav.
Sist gang Norge hadde høy inflasjon, var på 1980-tallet. Ved å sammenlikne gjennomslaget fra store, uventede prisendringer i enkelt grupper til inflasjonen på 1980-tallet og i den påfølgende lavinflasjonsperioden, kan vi vurdere om det er lignende spor av denne typen prisspredning i norske data.
For å gjøre dette ser vi på betydelige, uventede prisendringer i spesifikke prisgrupper. Det gjøres ved å estimere den delen av månedsveksten i undergrupper av KPI som ikke er korrelert med fellesfaktorer for konsumprisene. Fellesfaktorene er ment å oppsummere fundamentale forhold som normalt påvirker alle priser. Vi ser på de prisendringene i hver undergruppe som er positive og store sammenlignet med tidligere bevegelser i samme gruppe. Deretter kan vi estimere sammenhengen mellom en stor prisøkning i en prisundergruppe og bevegelser i kjerneinflasjon et år frem i tid.3 Denne sammenhengen tolker vi som et mål på spredningseffekter. Vi anvender metoden på to ulike tidsperioder, 1980–1992 og 1993–2019, for å vurdere forskjellen i spredning i en periode med høy og en periode med lav prisvekst.
Vi finner at betydelige prisøkninger i enkeltgrupper i stor grad var forbigående i lavinflasjonsperioden. På 1980-tallet hadde den samme typen prisimpulser større og mer varig gjennomslag på kjerneprisveksten. Dette tyder på at når prisveksten allerede er høy, kan betydelig oppgang i priser på noen områder i større grad spre seg til andre konsumpriser.
Figur 3.E viser utviklingen i denne typen prisimpulser estimert frem til november 2022. Siden slutten av 2021 har det vært en tydelig oppgang i andelen undergrupper av KPI som har hatt betydelige prisøkninger. Prisveksten er nå høy og dersom den samlede prisveksten er mer følsom for spredningseffekter enn den har vært de siste tiårene, kan prisveksten bli mer varig enn våre empiriske modeller tilsier. Vi tror noen slike effekter bidrar til å trekke opp prisveksten, men det er usikkert hvor store disse effektene er.
Figur 3.E Mange undergrupper har hatt stor prisøkning4 Andel av KPI-undergrupper. Tolvmåneders glidende gjennomsnitt. Prosent
1 Periode: 1. kv. 2002 – 4. kv. 2022. Forventninger til inflasjonen på 2 års sikt er gjennomsnitt av forventningene blant husholdninger, næringslivsledere, økonomer og partene i arbeidslivet. Forventningene til inflasjonen på 5 års sikt er gjennomsnitt av forventningene blant økonomer og partene i arbeidslivet.
2 Se Borio, Disyatat, Xia og Zakrajsek (2021): «Second-round effects feature less prominently in inflation dynamics», BIS Quarterly Review, September 2021, s. 23–24
3 SSB publiserer statistikk på KPI-JAE fra og med desember 2002. Før dette bruker vi en beregnet serie på KPI-JAE.
4 Periode: Jan. 2009 – nov. 2022. Store, relative prisøkninger estimert over 55 undergrupper av KPI.
4 Pengepolitisk analyse
Norges Banks komité for pengepolitikk og finansiell stabilitet vedtok på møtet 14. desember å sette styringsrenten opp fra 2,5 til 2,75 prosent. Slik komiteen nå vurderer utsiktene og risikobildet, vil styringsrenten mest sannsynlig settes videre opp i første kvartal neste år. Det er knyttet stor usikkerhet til prognosene. Dersom utsiktene eller komiteens vurdering av sammenhengene i økonomien endres, vil også rentebanen endres.
Prisveksten er klart over målet. Renten er satt opp for å bringe inflasjonen ned, men det vil ta tid før prisveksten nærmer seg målet på 2 prosent. Etter at norsk økonomi har vært i en konjunkturoppgang, venter vi at aktiviteten vil avta fremover.
4.1 Mål og tilbakeblikk
Det overordnede målet for pengepolitikken er lav og stabil inflasjon. Det operative målet er en årsvekst i konsumprisene som over tid er nær 2 prosent. Fra innføringen av inflasjonsmålet i 2001 til mars 2018 var måltallet 2,5 prosent. Et glidende snitt av årsveksten i konsumprisene har de siste 30 årene ligget nær 2 prosent. Den siste tiden har inflasjonen skutt fart, og veksten i KPI har vært den høyeste siden slutten av 1980-tallet, se figur 4.1.
Figur 4.1 Inflasjonen langt over målet1 KPI. Firekvartalersvekst. Prosent
Inflasjonsstyringen skal være fremoverskuende og fleksibel, slik at den kan bidra til høy og stabil produksjon og sysselsetting samt til å motvirke oppbygging av finansielle ubalanser. Den pengepolitiske strategien er nærmere beskrevet i «Norges Banks pengepolitiske strategi».
For å bidra til å stabilisere inflasjonen rundt målet har styringsrenten i flere omganger blitt hevet det siste året. Renten ble hevet til 2,5 prosent i november, i tråd med prognosen fra forrige rapport.
1 Periode: 1. kv. 1982 – 3. kv. 2022.
4.2 Ny informasjon og nye vurderinger
Modellteknisk tolkning av ny informasjon
For å vise virkningen av ny informasjon på de økonomiske utsiktene legger vi inn ny informasjon og nye vurderinger av den økonomiske situasjonen i modellapparatet, men beholder rentebanen fra forrige rapport. I denne øvelsen ser vi spesielt på utsiktene for kapasitetsutnyttingen og prisveksten, som er to viktige hensyn komiteen legger vekt på i utformingen av pengepolitikken.
Underliggende prisvekst har vært høyere enn vi så for oss i forrige rapport, og vi venter også høyere inflasjon den nærmeste tiden. Lenger frem vil svakere utsikter for realøkonomien og lavere lønnsvekst i 2024 og 2025 trekke prisveksten ned. I øvelsen med uendret rentebane blir prisveksten høyere enn i forrige rapport i starten av prognoseperioden, men lite endret lenger frem, se figur 4.2.
Figur 4.2 Høyere inflasjon den nærmeste tiden2 KPI-JAE. Anslag betinget på ny informasjon om den økonomiske utviklingen og prognosen for styringsrenten fra PPR 3/22. Firekvartalersvekst. Prosent
Kapasitetsutnyttingen i inneværende kvartal ser ut til å bli høyere enn anslått i forrige rapport, men vi venter at den vil falle raskere fremover. Husholdningenes disponible realinntekter er lavere enn anslått og omslaget i boligmarkedet noe sterkere. Det trekker i retning av en sterkere nedgang i konsumet enn vi anslo i september. Lavere vekstanslag for petroleumsinvesteringer trekker også kapasitetsutnyttingen ned. Samlet sett blir kapasitetsutnyttingen i denne øvelsen lavere enn i anslagene fra forrige rapport neste år og resten av prognoseperioden, se figur 4.3.
Figur 4.3 Utsikter til lavere kapasitetsutnytting3 Anslag på produksjonsgapet. Betinget på ny informasjon om den økonomiske utviklingen og prognosen for styringsrenten fra PPR 3/22. Prosent
Den modelltekniske tolkningen av ny informasjon viser avveiingen komiteen står overfor i innretningen av pengepolitikken. Inflasjonsutsiktene indikerer at det er behov for strammere pengepolitikk enn vi så for oss i september. Et høyere anslag på kapasitetsutnyttingen i inneværende kvartal trekker i samme retning. En lavere kapasitetsutnytting fremover i tid tilsier derimot isolert sett en lavere rente.
En enkel regel indikerer økt styringsrente
En estimert enkel regel, som er basert på hvordan Norges Bank tidligere har satt renten, oppsummerer det historiske reaksjonsmønsteret i pengepolitikken, se Pengepolitisk rapport 2/22. Oppjusteringen av prognosen for inflasjonen gjør at den enkle regelen nå indikerer en høyere rente de nærmeste kvartalene enn hva denne regelen gjorde i forrige rapport, se figur 4.4.
Figur 4.4 Enkel regel indikerer høyere rente4 Pengemarkedsrente. Prosent
Markedet priser inn en lavere rentebane
Basert på markedsrenter kan man beregne markedsaktørenes forventninger til styringsrenten frem i tid. Disse styringsrenteforventningene kan si oss noe om hvordan markedsaktører har tolket ny informasjon og hvordan de tror Norges Bank vil reagere.
Siden forrige rapport har markedets styringsrenteforventninger falt for hele anslagsperioden, og forventningene til styringsrenten ligger lavere enn renteprognosen i både denne og forrige rapport de nærmeste årene, se figur 4.5.
Figur 4.5 Markedets forventninger til styringsrenten har falt5 Styringsrenten. Prosent
2 Periode: 1. kv. 2016 – 4. kv. 2025. Anslag fra 3. kv. 2022 for PPR 3/22 og fra 4. kv. 2022 for PPR 4/22. KPI-JAE: KPI justert for avgiftsendringer og uten energivarer.
3 Periode: 1. kv. 2016 – 4. kv. 2025. Produksjonsgapet måler den prosentvise forskjellen mellom BNP for Fastlands-Norge og anslått potensielt BNP for Fastlands-Norge.
4 Periode: 1. kv. 2016 – 2. kv. 2023. Anslag fra 3. kv. 2022 for PPR 3/22 og 4. kv. 2022 for PPR 4/22.
5 Periode: 1. kv. 2016 – 4. kv. 2025. Anslag fra 9. desember 2022 for PPR 4/22 og fra 16. september 2022 for PPR 3/22. Forventninger 9. desember 2022 for PPR 4/22 og 23. september 2022 for PPR 3/22.
4.3 Pengepolitisk innretning og drivkrefter bak endringene i rentebanen
Som i forrige rapport, indikerer prognosen for styringsrenten en rente på rundt 3 prosent neste år, se figur 4.5. Fra andre halvår 2024 anslås renten å avta gradvis. Mot slutten av prognoseperioden anslås styringsrenten å være om lag 2,4 prosent, litt lavere enn anslaget fra september.
Pengepolitikken påvirker økonomien gjennom både nominelle renter og realrenter. Vi venter samlet sett at den pengepolitiske innretningen vil virke innstrammende på økonomien gjennom hele prognoseperioden.
Den raske økningen i det nominelle rentenivået bremser den økonomiske aktiviteten ved å redusere husholdningenes disponible inntekt. Mange husholdninger vil måtte dekke inn høyere rentebetalinger på gjelden ved å senke konsumet. Det gjelder spesielt for dem som ikke har mulighet til å trekke på oppsparte midler eller øke gjelden.
Anslaget for realrenten i pengemarkedet innebærer også at pengepolitikken vil virke kontraktivt de neste årene, siden realrenten stort sett ligger over det vi anslår som et nøytralt nivå nær null. Anslaget på realrenten er litt høyere enn i forrige rapport for det nærmeste halvåret, se figur 4.6. Deretter er anslaget lavere, i tråd med en litt lavere rentebane utover i prognoseperioden.
Figur 4.6 Litt lavere forventet realrente6 Forventede realrenter fire kvartaler frem i tid. Prosent
Dersom de økonomiske utsiktene, risikobildet eller vurderingen av økonomiens virkemåte endrer seg, kan også renten bli en annen enn rentebanen nå indikerer. Det er vanskeligere enn normalt å anslå inflasjon og kapasitetsutnytting fremover, og våre prognoser har blitt betydelig revidert i løpet av det siste året.
Beregning av forventet realrente
Realrenten er viktig for å forstå innretningen av pengepolitikken. Forventet realrente, definert som forventet rentenivå for en periode fratrukket forventet prisvekst i samme periode, gir uttrykk for hva et lån reelt sett koster. Realrenter kan variere basert på hvilken nominell rente som brukes, hvilken prisvekst som er relevant og hvor lang periode som betraktes.
I figur 4.6 rapporterer vi forventet realrente fire kvartaler frem i tid, basert på våre egne anslag for pengemarkedsrenten og prisveksten målt med KPI-JAE.1 Det gir ingen fasit på hva forventet realrente er for ulike aktører, men utgjør et nyttig utgangspunkt, siden det sammenfaller med den forventede realrenten i vår makroøkonomiske modell NEMO.
I tidligere rapporter har vi vist en annen realrenteberegning, hvor realrenten var definert som pengemarkedsrenten fratrukket et glattet snitt av firekvartalersveksten i KPI-JAE. Denne definisjonen ga imidlertid store realrentebevegelser som følge av endringer i inflasjonen som alt har skjedd, og som ikke nødvendigvis ga et godt uttrykk for inflasjonsforventninger. Vi vil fremover heller ta utgangspunkt i den forventede realrenten, slik den er vist i figur 4.6.
1 For inneværende kvartal og i anslagsperioden beregnes forventet realrente med utgangspunkt i anslagene i denne rapporten. For alle tidligere perioder viser vi forventet realrente i «realtid», altså beregnet ved hjelp av det som på et hvert tidspunkt er våre mest oppdaterte anslag.
Renteregnskap
Komiteens begrunnelse for rentebeslutningen og signalene om renten frem i tid kommer frem av de pengepolitiske vurderingene. Renteregnskapet vist i figur 4.7 viser de viktigste drivkreftene bak endringen i rentebanen fra vår hovedmodell NEMO siden forrige rapport. Søylene viser bidrag til endringer i banen fra modellen, og den stiplede linjen viser summen av søylene. Den heltrukne linjen viser den faktiske endringen i rentebanen.
Figur 4.7 Renteregnskapet indikerer små endringer i rentebanen7 Akkumulerte bidrag. Prosentenheter
Prisveksten har vært høyere enn anslått i septemberrapporten, og det trekker opp prisveksten den nærmeste tiden. Faktorene knyttet til priser og lønn bidrar til en høyere modellbane i første del av prognoseperioden, se lilla søyler.
På kort sikt anslås kapasitetsutnyttingen å bli noe høyere enn tidligere ventet, men en lavere realinntekt for husholdningene gir en svakere konsumvekst fremover. Samtidig anslår vi et større fall i boligprisene, som fører til lavere aktivitet i boligmarkedet. Samlet sett bidrar innenlandsk etterspørsel til en høyere modellbane på kort sikt, deretter lavere, se mørkeblå søyler.
Terminprisene på olje og gass har falt siden forrige rapport, spesielt for det nærmeste året. Lenger frem er petroleumsprisene lite endret. Anslagene for petroleumsinvesteringene er lavere enn i september som følge av at noen planlagte utbyggingsprosjekter er utsatt eller kansellert. Petroleumspris og -investeringer trekker derfor modellbanen ned, se grønne søyler.
Styringsrentene hos våre handelspartnere har økt siden forrige rapport i takt med økt inflasjon. Markedsaktørenes forventninger til styringsrentene den nærmeste tiden har steget litt siden forrige rapport. Den økonomiske veksten hos våre handelspartnere er nedjustert i årene fremover. Samlet sett trekker utlandet modellbanen opp den nærmeste tiden, men ned mot slutten av anslagshorisonten, se røde søyler.
Kronekursen har utviklet seg om lag som anslått i forrige rapport. Ifølge modellapparatet skulle utviklingen i rentedifferansen mot utlandet og fallet i petroleumsprisene ha trukket kursen i svakere retning. At valutakursen er sterkere enn hva drivkreftene i modellen skulle tilsi, trekker modellbanen noe ned, se oransje søyler.
Samlet sett tilsier modellanalysen en litt høyere styringsrente enn anslått i forrige rapport det neste kvartalet, og en litt lavere styringsrente fra midten av neste år.
6 Periode: 1. kv. 2016 – 3. kv. 2024. Anslag fra 3. kv. 2022. Forventet realrente er lik anslag på pengemarkedsrenten neste fire kvartaler fratrukket anslått vekst i KPI-JAE over samme periode. For inneværende kvartal og i anslagsperioden beregnes forventet realrente med utgangspunkt i anslagene i denne rapporten.
For alle tidligere perioder viser vi forventet realrente beregnet ved hjelp av det som på et hvert tidspunkt var Norges Banks mest oppdaterte utgave av Pengepolitisk rapport.
7 Periode: 1. kv. 2023 – 4. kv. 2025. Anslag. Bidragene tar utgangspunkt i modellberegninger i modellen NEMO, men det er ingen mekanisk sammenheng mellom nyheter og endringer i søylene. Effekten av nyheter virker med et tidsetterslep, og samspill mellom økonomiske variabler kan gjøre at effekten snur over tid. I tillegg kan anslagene i korttidshorisonten innebære nyheter med ulikt fortegn ved ulike tidspunkter. Effekten på rentebanen vises derfor tydeligst med akkumulerte bidrag.
Norges Banks pengepolitiske strategi
Den pengepolitiske strategien beskriver hvordan komiteen tolker mandatet for pengepolitikken og gir en ramme for komiteens vurderinger av hvordan pengepolitikken vil innrettes i møte med ulike forstyrrelser. Strategien oppsummeres her og er publisert i sin helhet på Norges Banks nettsider.
Det operative målet for pengepolitikken er en årsvekst i konsumprisene som over tid er nær 2 prosent. Inflasjonsstyringen skal være fremoverskuende og fleksibel, slik at den kan bidra til høy og stabil produksjon og sysselsetting samt til å motvirke oppbygging av finansielle ubalanser.
Lav og stabil inflasjon
I rentesettingen sikter vi mot å stabilisere inflasjonen, målt ved årlig vekst i konsumprisindeksen (KPI), rundt målet på 2 prosent. Så lenge det er tillit til at inflasjonen vil være lav og stabil, vil svingninger i prisveksten rundt målet trolig ikke ha vesentlige samfunnsøkonomiske kostnader. Hvor raskt vi søker å nå målet etter et avvik, vil avhenge av forstyrrelsene som har inntruffet, og om det er konflikter mellom å nå inflasjonsmålet og de øvrige hensynene i pengepolitikken. Vi vil i rentesettingen legge vekt på å unngå store og vedvarende avvik fra inflasjonsmålet, både på over- og undersiden.
Høy og stabil produksjon og sysselsetting
Pengepolitikken kan bidra til at produksjon og sysselsetting stabiliseres rundt det høyest mulige nivået som er forenlig med prisstabilitet over tid.
De samfunnsøkonomiske kostnadene ved konjunktursvingninger er asymmetriske. Høy arbeidsledighet har direkte kostnader både for samfunnet og den enkelte som ikke finner arbeid. Svært lav ledighet, derimot, har ingen direkte kostnader, men kun indirekte i form av at det kan gi for høy lønns- og prisvekst. Vi vil derfor ikke søke å lukke et positivt produksjonsgap raskt så lenge det er utsikter til at prisveksten holder seg i et område nær 2 prosent og det ikke er tegn til at finansielle ubalanser bygger seg opp.
Ved å motvirke at lavkonjunkturer blir dype og langvarige, kan pengepolitikken bidra til at arbeidsledigheten ikke fester seg på et høyt nivå, slik at det gjennomsnittlige nivået på sysselsettingen over tid blir høyest mulig.
Motvirke oppbygging av finansielle ubalanser
Dersom det er tegn til at finansielle ubalanser bygger seg opp, kan hensynet til høy og stabil produksjon og sysselsetting i noen situasjoner tilsi at renten holdes noe høyere enn den ellers ville vært. Det kan i noen grad bidra til å redusere risikoen for kraftige tilbakeslag i økonomien frem i tid. Regulering og tilsyn av finansinstitusjoner er likevel de viktigste tiltakene mot forstyrrelser i det finansielle systemet.
Reaksjonsmønster
Renten virker på inflasjonen og realøkonomien med et tidsetterslep, og virkningene er usikre. For å redusere risikoen for at pengepolitikken i seg selv kan bidra til ustabilitet i økonomien, vil vi normalt respondere mindre kraftig på forstyrrelser enn hvis det ikke hadde vært usikkerhet om virkningene av renten. Videre vil vi normalt endre styringsrenten gradvis for å gjøre pengepolitikken mer forutsigbar og redusere risikoen for uønskede svingninger i finansielle markeder og uforutsette tilpasninger blant husholdninger og bedrifter. I situasjoner der faren for særlig ugunstige utfall er betydelig, eller dersom det ikke lenger er tillit til at inflasjonen vil holde seg lav og stabil, kan det være riktig å reagere kraftigere i rentesettingen enn vanlig.
5 Beslutningsgrunnlag for motsyklisk kapitalbuffer
Eiendomspriser har økt mye de siste årene, og mange husholdninger har høy gjeld. I høst har kredittveksten til husholdningene avtatt, mens kredittveksten til foretakene har holdt seg oppe. Samtidig har bolig- og næringseiendomspriser falt. Fremover venter vi at eiendomsprisene vil falle videre, og at kredittveksten avtar. Kredittverdige husholdninger og foretak synes å ha god tilgang på kreditt, selv om det er noen tegn til at bankene strammer inn på sin kredittpraksis.
Norske banker oppfyller kapitalkravene og har god lønnsomhet. Kravet til motsyklisk kapitalbuffer på 2,5 prosent bidrar til at bankene bevarer motstandskraft slik at de kan utføre oppgavene sine effektivt også ved tilbakeslag. Norges Banks komité for pengepolitikk og finansiell stabilitet har vedtatt å opprettholde kravet til motsyklisk kapitalbuffer på 2,5 prosent.
Endring av tidspunkt for beslutning om motsyklisk kapitalbuffer
Fra og med 2023 vil Norges Bank publisere to rapporter om Finansiell stabilitet i året, i mai og i november. Samtidig vil beslutning om krav til motsyklisk kapitalbuffer fattes på rentemøtene i januar, mai, august og november. Det innebærer at vurderingen av, og beslutningsgrunnlaget for, motsyklisk kapitalbuffer fremover ikke vil være en del av Pengepolitisk rapport. Den neste beslutningen om motsyklisk kapitalbuffer publiseres 19. januar, sammen med rentebeslutningen.
Rammeverk for beslutning om motsyklisk kapitalbuffer
Beslutning om nivå på motsyklisk kapitalbuffer baseres på vurderinger av fire hovedområder: (i) syklisk sårbarhet, (ii) tilgang på kreditt, (iii) bankenes evne til å tåle tap, og (iv) effekten av en endring i kravet på bankene og økonomien. Mer informasjon om vårt rammeverk finnes i Norges Bank Memo 4/2022. En oppdatert figurpakke med alle indikatorer som inngår i rammeverket, finnes på Norges Banks nettsider.
5.1 Tilgang på kreditt
Kredittverdige husholdninger synes å ha god tilgang på kreditt. Det er imidlertid noen tegn til at bankene blir mer restriktive. I Norges Banks utlånsundersøkelse fra oktober meldte bankene at de ventet å stramme litt inn på sin kredittpraksis overfor husholdninger i fjerde kvartal.
Rammer for bankenes utlånspraksis til husholdninger er regulert i utlånsforskriften. Finansdepartementet har nylig besluttet å videreføre utlånsforskriften, men endrer blant annet kravet til hvor stor renteøkning låntakerne skal tåle.1 Det medfører at flere vil kunne få boliglån uten å komme i brudd med kravene i forskriften.
Kredittverdige foretak synes også å ha god tilgang på kreditt. I utlånsundersøkelsen ventet bankene samlet sett ingen endring i kredittpraksis overfor foretak. Flere av bankene rapporterte imidlertid at de for nye utlån til næringseiendom stiller økte krav til egenkapital og betjeningsevne. De fleste bankene meldte også om at de har økt marginene sine på nye lån til næringseiendom.
I obligasjonsmarkedet har risikopåslagene på nye utstedelser til foretak steget markert i år, særlig for næringseiendomsforetak. Oppgangen i risikopåslag har ført til lavere emisjonsaktivitet i obligasjonsmarkedet.
1 Se Finansdepartementets pressemelding av 9. desember 2022.
5.2 Syklisk sårbarhet og risiko i det finansielle systemet
Erfaring viser at tilbakeslag i økonomien gjerne blir kraftigere dersom de kommer etter en periode med høy vekst i kreditt og formuespriser. Lave renter bidro til at eiendomspriser økte mye under koronapandemien, og veksten i husholdningenes gjeld tiltok. I høst har eiendomsprisene falt, og veksten i husholdningenes gjeld har avtatt. Samlet sett er vurderingen av syklisk sårbarhet i det finansielle systemet om lag som før pandemien. Fremover venter vi at eiendomsprisene vil falle og at kredittveksten avtar videre. På sikt kan det dempe sårbarhetene i det finansielle systemet.
Den pågående krigen i Ukraina og ettervirkninger av koronapandemien har store økonomiske konsekvenser både i Europa og globalt. Høy prisvekst, økte renter og svekkede vekstutsikter har ført til store svingninger i finansmarkedene og økt faren for et økonomisk tilbakeslag. Det innebærer økt risiko for at sårbarhetene i det finansielle systemet kan utspille seg. Det kan forsterke tilbakeslag og gi økte tap i bankene. For en nærmere beskrivelse av utsiktene for finansiell stabilitet, se rapporten Finansiell stabilitet 2022.
Husholdningenes rentebelastning øker
Kredittveksten til husholdningene har kommet gradvis ned det siste halvannet året, i tråd med en mer moderat prisutvikling og lavere omsetning i boligmarkedet. Veksten har de siste månedene vært litt lavere enn anslått i forrige rapport. Vi venter at kredittveksten til husholdninger vil avta gradvis fremover, som følge av høyere utlånsrenter og lavere boligpriser, se figur 5.1 og tabell 3 i vedlegget.
Figur 5.1 Lavere kredittvekst fremover2
Firekvartalersvekst. Prosent
Husholdningenes gjeldsbelastning, det vil si gjeld i forhold til inntekt, har vokst mye over lengre tid, se figur 5.2. Høy inntektsvekst, særlig i form av økte aksjeutbytter, bidro til at gjeldsbelastningen falt mot slutten av fjoråret. Våre anslag innebærer at gjeldsbelastningen vil øke svakt ut neste år, før den avtar. Videre medfører økte utlånsrenter at husholdningene må bruke en større andel av inntekten på renteutgifter fremover. Rentebelastningen anslås å øke fra om lag 5 prosent i tredje kvartal i år til om lag 8 prosent i tredje kvartal 2023, for deretter å avta noe. Husholdningenes gjeldsbetjeningsgrad, som inkluderer både renter og beregnede avdrag, ventes å øke til et historisk høyt nivå. For husholdninger med annuitetslån vil avdragsbetalingene bli mindre når renten øker. Det bidrar til at økningen i gjeldsbetjeningsgraden er noe mindre enn økningen i rentebelastningen. I tillegg har mange husholdninger mulighet til å utsette avdrag. Flere banker har meldt om noe økt bruk av avdragsfrihet i høst.
Figur 5.2 Husholdningenes rentebelastning øker3
Prosent
Norske husholdninger står nå overfor økte utgifter til blant annet renter, mat og strøm. En analyse i rapporten Finansiell stabilitet 2022 viser at de aller fleste husholdninger likevel er i stand til å betjene gjelden sin. Bare to til tre prosent av gjelden til boligeiere holdes av husholdninger som kan få problemer med å dekke normale utgifter og ventede renteøkninger med tilgjengelig inntekt og formue. Mange flere vil imidlertid være nødt til å stramme inn på konsumet. Vi venter at lavere konsum i husholdningene vil bidra til at aktiviteten i fastlandsøkonomien avtar neste år, se nærmere omtale i kapittel 3. Videre viser analysen i Finansiell stabilitet 2022 at i et scenario med blant annet høye renter og kraftig boligprisfall, kan bankenes tap øke som følge av at husholdninger misligholder gjelden sin. I en slik situasjon kan også mange husholdninger bli nødt til å redusere konsumet sitt betydelig. Det kan svekke inntjeningen til foretak og dermed deres gjeldsbetjeningsevne, og i neste omgang øke banktapene ytterligere. Det kan utgjøre en trussel mot finansiell stabilitet.
Sårbarheter i husholdningssektoren
Mange husholdninger har høy gjeld og boligprisene har økt mye de siste årene. Det er de viktigste sårbarhetene i husholdningssektoren, se omtale i Finansiell stabilitet 2022. Husholdningenes gjeld er dominert av lån med pant i bolig, og gjeldsutviklingen er nært knyttet til utviklingen i boligpriser. Store og brå fall i boligpriser vil derfor redusere egenkapitalen i bolig for mange husholdninger.
Perioder med vedvarende høy boligprisvekst og kredittvekst øker sårbarheten i husholdningssektoren. Dersom boligprisene og gjelden vokser raskere enn inntektene, blir husholdningene mer sårbare for inntektsbortfall og økte renter.
Høy kredittvekst i foretakene
Veksten i foretakenes innenlandske kreditt har tiltatt i år og vært høyere enn ventet (figur 5.1). Det er økt utlånsvekst fra bankene som har trukket veksten opp, og det var særlig lån til industri, tjenesteyting og næringseiendom som bidro til økt samlet kredittvekst i foretakene. Utviklingen kan ses i sammenheng med økte investeringer. I tråd med investeringsanslagene venter vi at kredittveksten faller neste år og stabiliserer seg på et lavere nivå. For en nærmere omtale av foretaksinvesteringene, se kapittel 3.
Omslag i boligmarkedet
Boligprisene økte markert i mange land under pandemien. Den siste tiden har boligprisene falt, og sentralbankene i flere land venter at de skal falle videre.
Her hjemme har boligprisene også økt mye de siste årene, se figur 5.3. Høy etterspørsel og få usolgte boliger bidro til å holde veksten oppe i begynnelsen av 2022. I løpet av sommeren avtok boligprisveksten og i høst har boligprisene falt. Prisfallet har vært større enn ventet i forrige rapport. De siste månedene har det blitt lagt ut mange boliger for salg, og omsetningen har vært litt lavere enn normalt, se figur 5.4. Det har ført til en markert oppgang i antall usolgte bruktboliger i markedet. Utviklingen kan ha blitt forsterket av endringer i husholdningenes boligprisforventninger. Spørreundersøkelser gjennom høsten viser at stadig flere forventer fallende boligpriser fremover. Det kan ha ført til fremskynding av boligsalg og utsettelser av boligkjøp. Det kan forsterke boligprisfallet på kort sikt.
Figur 5.3 Boligprisene har begynt å falle4
Prosent
Figur 5.4 Flere usolgte bruktboliger5
Antall bruktboliger i tusen
Nyboligsalget har vært lavt i sommer og høst. Det må ses i sammenheng med avdempingen i bruktboligmarkedet og økte byggekostnader. Lavere bruktboligpriser og det lave salget av nye boliger vil trolig dempe boligbyggingen fremover, se også kapittel 3. Boligbyggingen har de tre siste årene vært lavere enn veksten i antall husholdninger, og vi venter at dette varer ved de neste årene.
Omslaget i boligmarkedet har vært noe større enn hva vi så for oss i september. Vi venter at boligprisene vil falle om lag 6 prosent fra toppen i august i år og frem til høsten neste år, se figur 5.5. Anslagene innebærer at boligprisene da fortsatt vil være 12 prosent høyere enn nivåene fra før pandemien. Boligprisfallet skyldes i hovedsak økte utlånsrenter. Mange usolgte bruktboliger og tegn til endringer i husholdningenes boligprisforventninger bidrar til at vi den nærmeste tiden anslår et noe større boligprisfall enn i forrige rapport. Lempeligere krav til betjeningsevne i utlånsforskriften bidrar på den andre siden isolert sett til å trekke anslagene litt opp. Boligprisveksten ventes så å ta seg opp utover i prognoseperioden.
Figur 5.5 Vi venter videre boligprisfall6
Firekvartalersvekst. Prosent
Usikkerhet om den makroøkonomiske utviklingen og husholdningenes tilpasning til økte renter gjør at prognosene for boligprisene er mer usikre enn normalt. For eksempel kan husholdningenes etterspørsel etter bolig være mer sensitiv for renteøkninger enn det vi legger til grunn. Endringer i husholdningenes forventninger til boligprisutviklingen kan også bidra til et større boligprisfall enn anslått. Nokså lav boligbygging bidrar imidlertid til å dempe risikoen for et større boligprisfall.
Fall i prisene på næringseiendom
Næringseiendomspriser i Norge og i mange andre land har steget mye de siste årene. Salgsprisene beregnes som leiepriser delt på et avkastningskrav. Økningen i salgsprisene her hjemme skyldes både økte leiepriser og lavere avkastningskrav. Det siste året har salgsprisene blitt drevet opp av betydelig leieprisvekst.
I tredje kvartal steg leieprisene markert, og avkastningskravet økte betydelig ifølge prisstatistikk for de mest attraktive kontorlokalene i Oslo. Samlet falt salgsprisene noe, se figur 5.6. Vi venter moderat leieprisvekst det neste året som følge av lavere vekst i norsk økonomi. Avkastningskravet avhenger av utviklingen i langsiktige renter og risikopremier. Til tross for at avkastningskravet i Oslo og andre europeiske storbyer har økt i det siste, er avstanden til langsiktige renter fortsatt liten. Vi venter en gradvis økning i avkastningskravet fremover. Samlet tilsier anslagene for leieprisvekst og avkastningskrav at salgsprisene på næringseiendom skal falle fremover, og ved utgangen av neste år anslår vi at prisene er tilbake til nivået fra før pandemien. Anslag for salgsprisene er litt nedjustert siden forrige rapport.
Figur 5.6 Prisene på næringseiendom ventes å falle7
Beregnede salgspriser. Tusen kroner per kvadratmeter
Lave avkastningskrav øker faren for et stort fall i næringseiendomsprisene. Dersom prisfallet fører til at verdien av de pantsatte eiendommene blir lavere enn lånene, kan bankene påføres tap ved mislighold av gjelden. Prisveksten på næringseiendom siden finanskrisen har imidlertid ikke vært motsvart av tilsvarende opplåning. Det har økt foretakenes egenkapitalandel, og de står dermed bedre rustet ved prisfall.
Mesteparten av gjelden til næringseiendomsforetak er bankgjeld, men obligasjonsgjeld er en stadig viktigere finansieringskilde. Påslagene har økt mye i både obligasjonsmarkedet og for utlån fra banker. I årene fremover forfaller mye obligasjonsgjeld utstedt av næringseiendomsforetak. Noen næringseiendomsforetak kan få utfordringer med å hente ny obligasjonsgjeld i markedet samtidig som det kan være mer krevende å få banklån. Slike utfordringer kan forsterkes ved et markert fall i prisene på næringseiendom.
I tråd med prognosene i denne rapporten venter vi at bankene får nokså lave tap på næringseiendom fremover. Dersom alle næringseiendomsforetak nedskriver eiendomsverdiene med 30 prosent, viser enkle sensitivitetsøvelser at flere foretak kan få negativ egenkapital.8 Bankene kan da få økte tap dersom næringseiendomsforetak misligholder sin gjeld. I et scenario med kraftig tilbakeslag hvor næringseiendomspriser nesten halveres, kan bankenes tap på utlån til næringen bli betydelige, se stresstesten i Finansiell stabilitet 2022.
Sårbarheter i næringseiendom
Bankenes høye eksponering mot næringseiendom er en viktig strukturell sårbarhet i det finansielle systemet, samtidig som lave avkastningskrav er en syklisk sårbarhet som øker faren for et stort fall i næringseiendomsprisene, se omtale i Finansiell stabilitet 2022.
Innen næringseiendom er kontormarkedet særlig viktig for finansiell stabilitet siden bankene har betydelige utlån til dette segmentet. En relativt stor andel av kontormassen ligger i Oslo, og salgsprisene for de mest attraktive kontorlokalene (prestisjelokaler) i Oslo benyttes som en viktig indikator for sårbarheten i næringseiendom.
2 Periode: 1. kv. 2016 – 4. kv. 2025. Anslag fra 3. kv. 2022 for PPR 3/22 og 4. kv. 2022 for PPR 4/22. Ikke-finansielle foretak i Fastlands-Norge.
3 Periode: 1. kv. 1980 – 4. kv. 2025. Anslag fra 4. kv. 2022. Gjeldsbelastning er gjeld som andel av disponibel inntekt. Disponibel inntekt er inntekt etter skatt og renteutgifter. Gjeldsbetjeningsgrad er renteutgifter og anslått avdrag på gjeld, som andel av inntekt etter skatt. Rentebelastning er renteutgifter som andel av inntekt etter skatt.
4 Periode: Januar 2016 – mars 2023. Anslag fra desember 2022.
5 Periode: Januar 2012 – november 2022.
6 Periode: 1. kv. 2016 – 4. kv. 2025. Anslag fra 3. kv. 2022 for PPR 3/22 og 4. kv. 2022 for PPR 4/22.
7 Periode: 1. kv. 2007 – 4. kv. 2025. Anslag fra 3. kv. 2022 for PPR 3/22 og 4. kv. 2022 for PPR 4/22. Prestisjelokaler i Oslo.
8 Se kapittel 5 i Pengepolitisk rapport 4/21.
5.3 Bankene
Løpende inntjening er bankenes førstelinjeforsvar mot tap. Egenkapitalavkastningen for de store norske bankene var 12 prosent i tredje kvartal, om lag uendret fra de to foregående kvartalene. Det siste året har økte netto renteinntekter, som er den viktigste inntektskilden for norske banker, bidratt til å bedre lønnsomheten.
Bankenes utlånstap har vært lave så langt i år. Det skyldtes særlig at bankene har tilbakeført tidligere tapsnedskrivinger. Fremover venter vi at tilbakeføringene blir lavere, og at økte renter og høy prisvekst vil øke tapene noe på utlån til kunder med svak gjeldsbetjeningsevne. Samlet sett venter vi at utlånstapene øker noe, men holder seg nær gjennomsnittet for de siste 20 årene. Vi venter at bankenes lønnsomhet likevel opprettholdes som følge av økte netto renteinntekter.
De norske bankene er solide og oppfyller kapitalkravene med god margin, se figur 5.7. Stresstesten i Finansiell stabilitet 2022 viser at bankene er robuste og at kapitalbuffere bidrar til at bankene kan møte tap og opprettholde utlån i et kraftig økonomisk tilbakeslag. Det er stor usikkerhet om den videre økonomiske utviklingen, og risikoen for tilbakeslag har økt gjennom det siste året. Det er derfor særlig viktig at det finansielle systemet bevarer motstandskraft slik at det kan utføre oppgavene sine effektivt også ved alvorlige tilbakeslag og kriser i økonomien. Kravet til motsyklisk kapitalbuffer bidrar til at bankene opprettholder god evne til å tåle tap.
Figur 5.7 Bankene er godt rustet til å oppfylle vedtatte bufferkrav9
Prosent. Per 3 kv. 2022
9 Største norskeide bankkonsern. Samlet 7 største er et vektet gjennomsnitt av de syv bankene vist i figuren. Kapitalmål er her regulatoriske krav per 31. mars 2023 tillagt kapitalkravmargin.
I september 2022 endret Finanstilsynet kravet til hvilken kapital bankene kan benytte til å oppfylle pilar 2-kravet. Tidligere måtte hele pilar 2-kravet oppfylles med ren kjernekapital. Etter endringen krever Finanstilsynet at bankene benytter minst 56,25 prosent ren kjernekapital til å oppfylle kravet. Finanstilsynet skal imidlertid oppdatere pilar 2-kravene. For DNB Bank-konsernet har Finanstilsynet nylig økt pilar 2-kravet med virkning fra 31. desember 2022.
Vedlegg
Tabeller med detaljerte anslag
Tabell 1 Internasjonale anslag
|
Endring i anslag fra Pengepolitisk rapport |
Vekter1 Prosent |
Prosentvis endring fra foregående år |
||||
|
2021 |
2022 |
2023 |
2024 |
2025 |
||
|
BNP |
||||||
|
USA |
9 |
5,9 (0,2) |
2 (0,3) |
1,2 (0) |
1,5 (-0,2) |
1,7 (-0,2) |
|
Euroområdet |
35 |
5,3 (0,1) |
3,3 (0,1) |
-0,1 (-0,3) |
1,2 (-0,3) |
2 (-0,1) |
|
Storbritannia |
11 |
7,5 (0,1) |
4,4 (1) |
-1 (-1,4) |
0,7 (-0,4) |
2 (0,3) |
|
Sverige |
13 |
4,8 (0) |
2,9 (0,1) |
-0,5 (-1) |
1 (-0,8) |
2,1 (0,3) |
|
Kina |
7 |
8,1 (0) |
3 (0,4) |
4,3 (-0,7) |
4,5 (-0,3) |
4 (-0,5) |
|
13 handelspartnere1 |
100 |
5,9 (0,1) |
3,4 (0,3) |
0,5 (-0,6) |
1,7 (-0,3) |
2,3 (0) |
|
5 handelspartnere2 |
5,9 (0) |
3,2 (0,3) |
0,4 (-0,6) |
1,5 (-0,4) |
2,2 (-0,1) |
|
|
Priser |
||||||
|
Underliggende prisvekst3 |
2 (0) |
4,8 (0,2) |
4,2 (0,6) |
2,5 (0,3) |
2,1 (0) |
|
|
Lønnsvekst4 |
3,9 (-0,1) |
4,4 (0,1) |
4,5 (0,3) |
3,5 (0) |
2,9 (0,1) |
|
|
Priser på konsumvarer Norge importerer5 |
2 (0) |
7,5 (-0,7) |
0,4 (-1,5) |
1,1 (2,5) |
0,8 (0,2) |
|
1 I aggregatet inngår: Euroområdet, Kina, Storbritannia, Sverige, USA, Brasil, Danmark, India, Polen, Sør-Korea, Singapore, Thailand og Tyrkia. Eksportvekter.
2 I aggregatet inngår: Euroområdet, Kina, Storbritannia, Sverige og USA. Eksportvekter.
3 I aggregatet for underliggende prisvekst inngår: Euroområdet, Storbritannia, Sverige og USA. Importvekter.
4 Anslag på lønnskostnader per ansatt. I aggregatet inngår: Euroområdet, Storbritannia, Sverige og USA. Importvekter.
5 Målt i utenlandsk valuta. Inkludert vridningseffekter og fraktrater.
Kilder: Refinitiv Datastream og Norges Bank
Tabell 2a Konsumpriser. Tolvmånedersvekst. Prosent
|
2022 |
2023 |
||||||
|
sep |
okt |
nov |
des |
jan |
feb |
mar |
|
|
KPI |
|||||||
|
Faktisk |
6,9 |
7,5 |
6,5 |
||||
|
Anslag PPR 3/22 |
6,0 |
5,8 |
5,4 |
5,1 |
|||
|
Anslag PPR 4/22 |
6,0 |
6,9 |
6,8 |
6,2 |
|||
|
KPI-JAE |
|||||||
|
Faktisk |
5,3 |
5,9 |
5,7 |
||||
|
Anslag PPR 3/22 |
5,0 |
5,0 |
5,0 |
4,9 |
|||
|
Anslag PPR 4/22 |
5,7 |
5,9 |
5,9 |
5,8 |
|||
|
Importerte varer i kpi-jae |
|||||||
|
Faktisk |
5,2 |
6,1 |
5,9 |
||||
|
Anslag PPR 3/22 |
4,9 |
4,9 |
5,3 |
4,8 |
|||
|
Anslag PPR 4/22 |
5,8 |
5,8 |
5,6 |
6,0 |
|||
|
Norskproduserte varer og tjenester i kpi-jae |
|||||||
|
Faktisk |
5,2 |
5,7 |
5,5 |
||||
|
Anslag PPR 3/22 |
5,0 |
5,0 |
4,9 |
4,9 |
|||
|
Anslag PPR 4/22 |
5,6 |
6,0 |
6,0 |
5,7 |
|||
Kilder: Statistisk sentralbyrå og Norges Bank
Tabell 2b Boligpriser. Månedsvekst. Sesongjustert. Prosent
|
2022 |
2023 |
||||||
|
sep |
okt |
nov |
des |
jan |
feb |
mar |
|
|
Faktisk |
-1,0 |
-0,8 |
-0,9 |
||||
|
Anslag PPR 3/22 |
-0,3 |
-0,5 |
-0,5 |
-0,5 |
|||
|
Anslag PPR 4/22 |
-0,8 |
-0,5 |
-0,5 |
-0,5 |
|||
Kilder: Eiendom Norge, Eiendomsverdi, Finn.no og Norges Bank
Tabell 2d BNP for Fastlands-Norge. Månedsvekst. Sesongjustert. Prosent
|
2022 |
2023 |
||||||
|
sep |
okt |
nov |
des |
jan |
feb |
mar |
|
|
Faktisk |
0,6 |
||||||
|
Anslag PPR 3/22 |
-0,5 |
0,1 |
0,1 |
0,1 |
|||
|
Anslag PPR 4/22 |
-0,2 |
-0,2 |
-0,4 |
0,0 |
0,0 |
0,0 |
|
Kilder: Statistisk sentralbyrå og Norges Bank
Tabell 2c Registrert ledighet (rate). Prosent av arbeidsstyrken. Sesongjustert
|
2022 |
2023 |
||||||
|
sep |
okt |
nov |
des |
jan |
feb |
mar |
|
|
Faktisk |
1,6 |
1,6 |
1,6 |
||||
|
Anslag PPR 3/22 |
1,7 |
1,7 |
1,7 |
1,8 |
|||
|
Anslag PPR 4/22 |
1,7 |
1,7 |
1,8 |
1,8 |
|||
Kilder: NAV og Norges Bank
Tabell 2e BNP for Fastlands-Norge. Kvartalsvekst. Sesongjustert. Prosent
|
2022 |
2023 |
||||||
|
2.kv. |
3.kv. |
4.kv. |
1.kv. |
||||
|
Faktisk |
1,2 |
0,8 |
|||||
|
Anslag PPR 3/22 |
0,7 |
-0,1 |
0,0 |
-0,1 |
|||
|
Anslag PPR 4/22 |
0,0 |
-0,3 |
|||||
Kilder: Statistisk sentralbyrå og Norges Bank
Tabell 3 Anslag på makroøkonomiske hovedstørrelser
|
Endring i anslag fra |
Prosentvis endring fra foregående år (der annet ikke fremgår) |
|||||
|
Mrd.kr. 2021 |
Anslag |
|||||
|
2021 |
2022 |
2023 |
2024 |
2025 |
||
|
Priser og lønninger |
||||||
|
KPI |
3,5 |
5,8 (0,4) |
4,8 (0,3) |
2,8 (-0,3) |
2,6 (0,1) |
|
|
KPI-JAE |
1,7 |
3,9 (0,2) |
5,2 (0,4) |
3,6 (0,1) |
2,7 (0,1) |
|
|
Årslønn |
3,5 |
3,9 (-0,1) |
4,7 (0,1) |
4,3 (-0,2) |
4,0 (-0,2) |
|
|
Realøkonomi1 |
||||||
|
Bruttonasjonalprodukt (BNP) |
4 190 |
4 |
3,2 (1,0) |
0,6 (-0,2) |
0,6 (-0,2) |
0,3 (0,0) |
|
BNP for Fastlands-Norge |
3 281 |
4,2 |
3,6 (0,8) |
-0,2 (0,1) |
0,2 (-0,2) |
1,4 (0,3) |
|
Produksjonsgap for Fastlands-Norge (nivå) |
-0,4 |
1,9 (0,2) |
0,2 (0,0) |
-0,8 (-0,3) |
-0,6 (-0,2) |
|
|
Sysselsetting, personer, KNR |
1,2 |
3,9 (0,4) |
-0,4 (0,0) |
-0,4 (-0,3) |
0,7 (0,2) |
|
|
Registrert ledighet (rate, nivå) |
3,1 |
1,8 (0,0) |
2,0 (0,0) |
2,4 (0,1) |
2,4 (0,1) |
|
|
Etterspørsel1 |
||||||
|
Etterspørsel fra Fastlands-Norge |
3 388 |
3,8 |
4,7 (1,4) |
-1,0 (-1,2) |
1,0 (-0,3) |
2,3 (0,3) |
|
– Husholdningenes konsum |
1 621 |
4,4 |
6,5 (0,7) |
-1,5 (-0,4) |
0,5 (0,2) |
2,8 (0,9) |
|
– Foretaksinvesteringer |
362 |
4,3 |
16,5 (11,1) |
-0,9 (-4,4) |
-0,2 (-4,1) |
3,0 (-0,8) |
|
– Boliginvesteringer |
219 |
3 |
-3,2 (-3,2) |
-4,8 (-5,8) |
1,6 (0,2) |
3,6 (1,5) |
|
– Offentlig etterspørsel |
1 187 |
2,9 |
0,0 (0,1) |
0,4 (-0,5) |
2,0 (0,2) |
1,1 (-0,4) |
|
Petroleumsinvesteringer |
177 |
-2,1 |
-7,0 (-1,0) |
4,0 (0,0) |
12,0 (-3,0) |
2,0 (0,0) |
|
Eksport fra Fastlands-Norge |
724 |
4,9 |
5,2 (1,8) |
4,5 (-0,5) |
2,1 (-0,1) |
3,0 (0,0) |
|
Import |
1 212 |
1,2 |
12,3 (1,6) |
1,2 (-2,1) |
3,0 (-0,6) |
1,0 (-0,1) |
|
Boligpriser og gjeld |
||||||
|
Boligpriser |
9,1 |
4,9 (-0,6) |
-4,3 (-1,9) |
2,1 (0,8) |
3,7 (-0,4) |
|
|
Kreditt til husholdningene (K2) |
5 |
4,0 (-0,3) |
3,4 (-0,6) |
3,0 (-0,4) |
2,9 (-0,4) |
|
|
Renter, valutakurs og oljepris |
||||||
|
Styringsrente (nivå) |
0,1 |
1,3 (0,0) |
3,0 (0,0) |
2,9 (-0,1) |
2,5 (-0,2) |
|
|
Importveid valutakurs (I-44) (nivå) |
108,7 |
110,0 (0,0) |
110,5 (0,4) |
108,3 (0,2) |
107,4 (0,8) |
|
|
Pengemarkedsrente hos handelspartnere (nivå) |
-0,2 |
1,2 (0,0) |
3,7 (0,2) |
3,2 (0,1) |
2,8 (-0,1) |
|
|
Oljepris Brent Blend. USD per fat |
70,7 |
101,6 (-0,4) |
76,5 (-7,1) |
74,6 (-3,2) |
72,7 (-1,3) |
|
|
Husholdningenes inntekt og sparing1 |
||||||
|
Disponibel realinntekt utenom aksjeutbytte |
-0,2 |
1,2 (0,7) |
-2,3 (-0,3) |
2,0 (0,6) |
3,1 (-0,1) |
|
|
Sparerate utenom aksjeutbytte (rate, nivå) |
5,2 |
0,3 (-1,5) |
-0,7 (-1,6) |
0,6 (-1,3) |
0,8 (-2,2) |
|
|
Finanspolitikken |
||||||
|
Strukturelt, oljekorrigert underskudd som andel av SPU2 |
3,2 |
2,7 (-0,4) |
2,6 (0,0) |
2,5 (0,1) |
2,5 (0,0) |
|
|
Strukturelt, oljekorrigert underskudd som andel av trend-BNP |
10,5 |
9,7 (-1,4) |
8,9 (-0,5) |
9,2 (0,2) |
9,3 (-0,1) |
|
1 Alle tall er virkedagskorrigert.
2 Statens pensjonsfond utland ved inngangen til året.
Kilder: Eiendom Norge, Eiendomsverdi, Finn.no, NAV, Refinitiv Datastream, Statistisk sentralbyrå og Norges Bank